Figure 1
From: Strongly Coupled Magnetic and Electronic Transitions in Multivalent Strontium Cobaltites

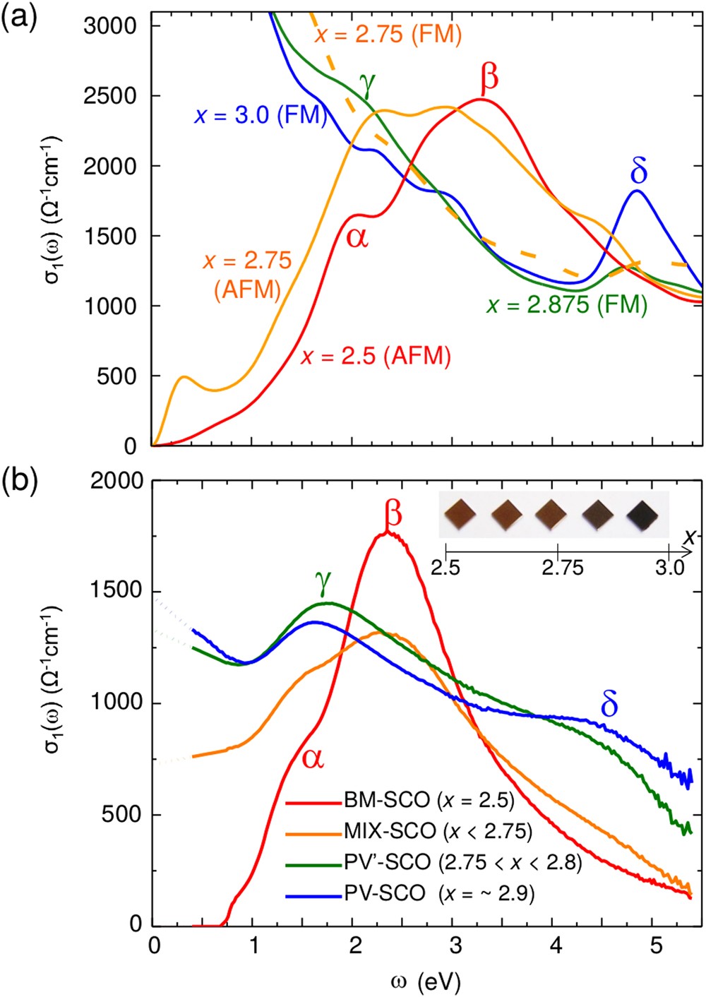
Evolution of optical conductivity. (a) Calculated optical conductivity spectra (σ 1(ω)) from DFT calculations for x = 2.5, 2.75, 2.875, and 3.0 in their magnetic ground states (bold lines). FM and AFM denote ferromagnetic and G-type antiferromagnetic ground states, respectively. For x = 2.75, we additionally computed σ 1(ω) for a ferromagnetic state (x = 2.75(FM)), which is shown with a dotted line, for comparison with the G-AFM ground state marked with x = 2.75(AFM). (b) Experimental σ 1(ω) for SCO thin films with various oxidation states. With increasing x, the Drude peak evolves with the emergence of δ peak. The inset shows photographic images of SCO thin films, which show a systematic color change with x. “BM” and “PV” denote Brownmillerite and perovskite phases, respectively. “MIX” denotes BM rich composition when x is smaller than 2.75 and “PV′” denotes PV perovskite rich phase when x is larger than 2.75. “BM-SCO”, “MIX-SCO”, “PV′-SCO”, and “PV-SCO” are represented with red, orange, green, and blue line, respectively. α, β, γ, and δ are representative peaks for comparison between theoretical (a) and experimental (a) conductivities.