Figure 2

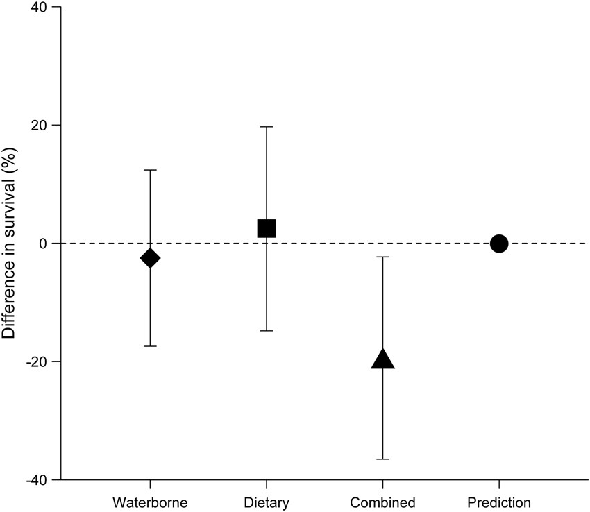
Mean difference in survival (±95% CIs) of G. fossarum (after 21 days; n = 40) exposed towards THI via different pathways. The prediction of the IA model is also displayed as a point estimate (●).

Mean difference in survival (±95% CIs) of G. fossarum (after 21 days; n = 40) exposed towards THI via different pathways. The prediction of the IA model is also displayed as a point estimate (●).