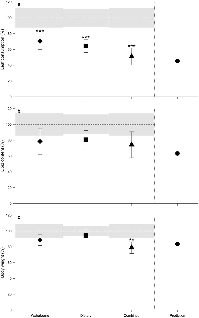
Figure 3

Mean (±95% CIs) (a) leaf consumption, (b) lipid content and (c) body weight of gammarids exposed for 21 days to thiacloprid, relative to the corresponding control (dashed line). Grey areas indicate the 95% CIs of the corresponding control. Please note that the dietary exposure treatment was compared to a separate control due to the flow-through system used (see Methods section). The predictions derived from IA models are also indicated as point estimate (●). Asterisks denote significant differences compared to the respective control, p < 0.01 (**), p < 0.001 (***).