Figure 3
From: An extended cluster expansion for ground states of heterofullerenes

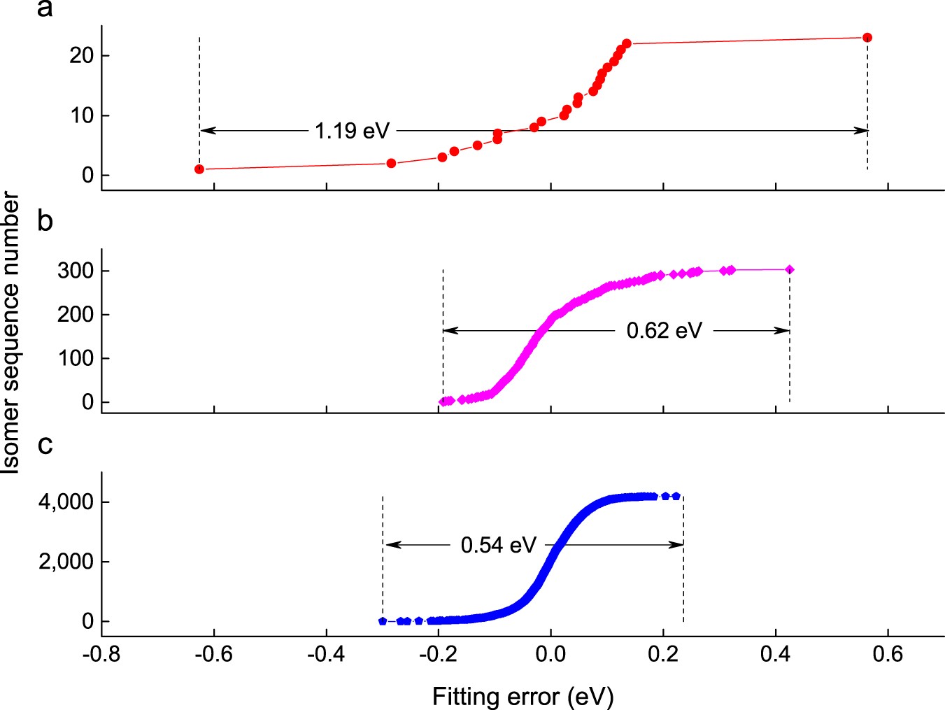
Distribution of the fitting errors of C58B2, C57B3 and C56B4. (a) The energetic contribution of boron pairs. (b) The interactive energy of boron triplets. (c) The interactive energy of boron quadruplets. The y-axis represents the sequence numbers for isomers when sorted by their fitting errors in ascending order. The ranges of the x-axis are the same so that we can easily compare the distribution ranges of the fitting errors of different interactions marked by figures between pairs of arrows.