Figure 5
From: A micro-Raman study of exfoliated few-layered n-type Bi2 Te2.7Se0.3

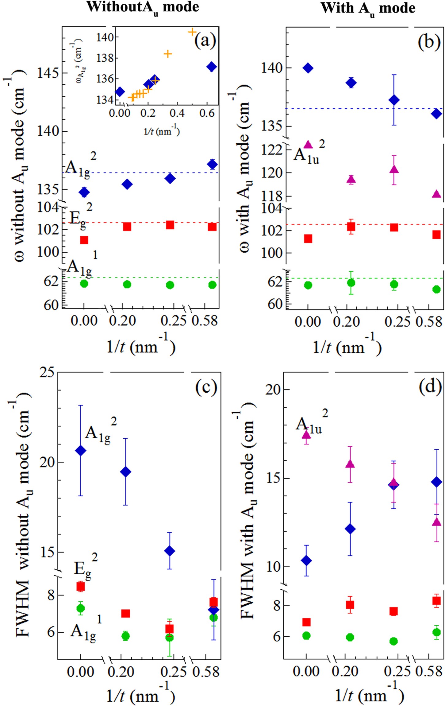
Frequency and FWHM dependence of 1/t. (a) Dependence of the A1g 1, E g 2, A1g 2 mode frequencies as a function of 1/t when the A u mode is absent. Inset compares the A1g 2 mode frequency (+) from Zhao et al.35 with current work. (b) Dependence of the A1g 1, E g 2, A1g 2 and A1u 2 mode frequencies as a function of 1/t. The dashed horizontal lines in (a) and (b) represent the peak frequencies of Raman modes in bulk n-type Bi2Te2.7Se0.3. Change in linewidths (FWHM) of the A1g 1, E g 2, A1g 2 modes as a function of 1/t (c) when the A1u 2 mode is absent, (d) when the A1u 2 mode is present.