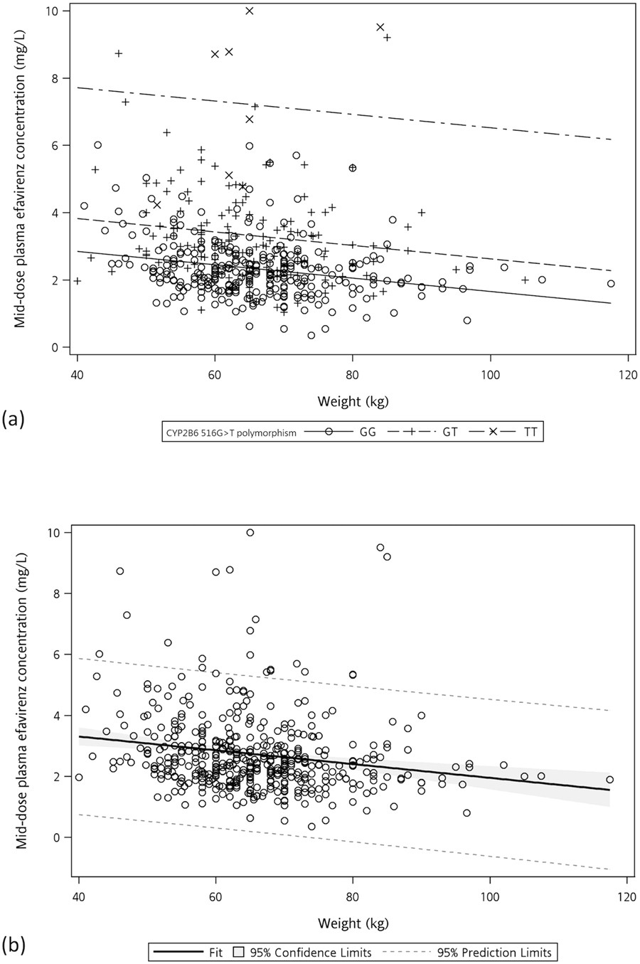
Figure 1

Scattered diagram and linear models for prediction of mid-dose plasma efavirenz concentration. (a) The model with CYP2B6 516G>T polymorphism and (b) the model without CYP2B6 516G>T polymorphism.

Scattered diagram and linear models for prediction of mid-dose plasma efavirenz concentration. (a) The model with CYP2B6 516G>T polymorphism and (b) the model without CYP2B6 516G>T polymorphism.