Figure 3
From: Greatly enhanced light emission of MoS2 using photonic crystal heterojunction

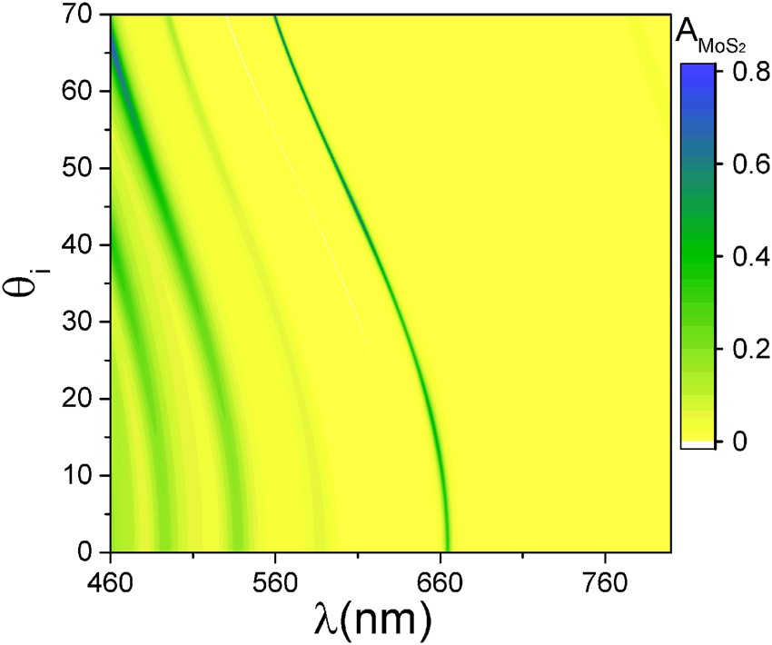
h-PhC MoS2 absorption changes as the incident angle and wavelength change.
From: Greatly enhanced light emission of MoS2 using photonic crystal heterojunction

h-PhC MoS2 absorption changes as the incident angle and wavelength change.