Figure 4
From: The flexibility and dynamics of the tubules in the endoplasmic reticulum

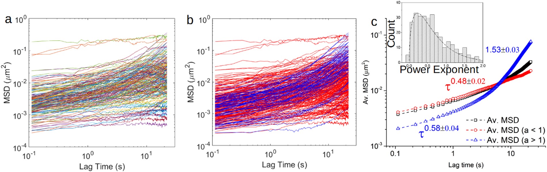
(a) The MSD curves as a function of lag time (τ) calculated for all the tracked ER tubules. (b) There were two distinct populations of MSDs based on their power law exponent, one with α < 1 (red) and one where 1 < α < 2 (blue) for lag times τ > 2 s. The black symbols show the average of the two populations i.e. when the distinction between subdiffusion and super-diffusion is not made. (c) The ensemble averaged MSD of the sub-diffusive population could be characterised by a universal power law with α = 0.48 ± 0.02, whereas the averaged MSD of the super-diffusive population has a power law of α = 0.58 ± 0.04 at small lag times and α = 1.53 ± 0.03 at long lag times, τ > 2 s. The inset in (c) shows a histogram of the power law exponents extracted from the individual tubules’ MSD curves.