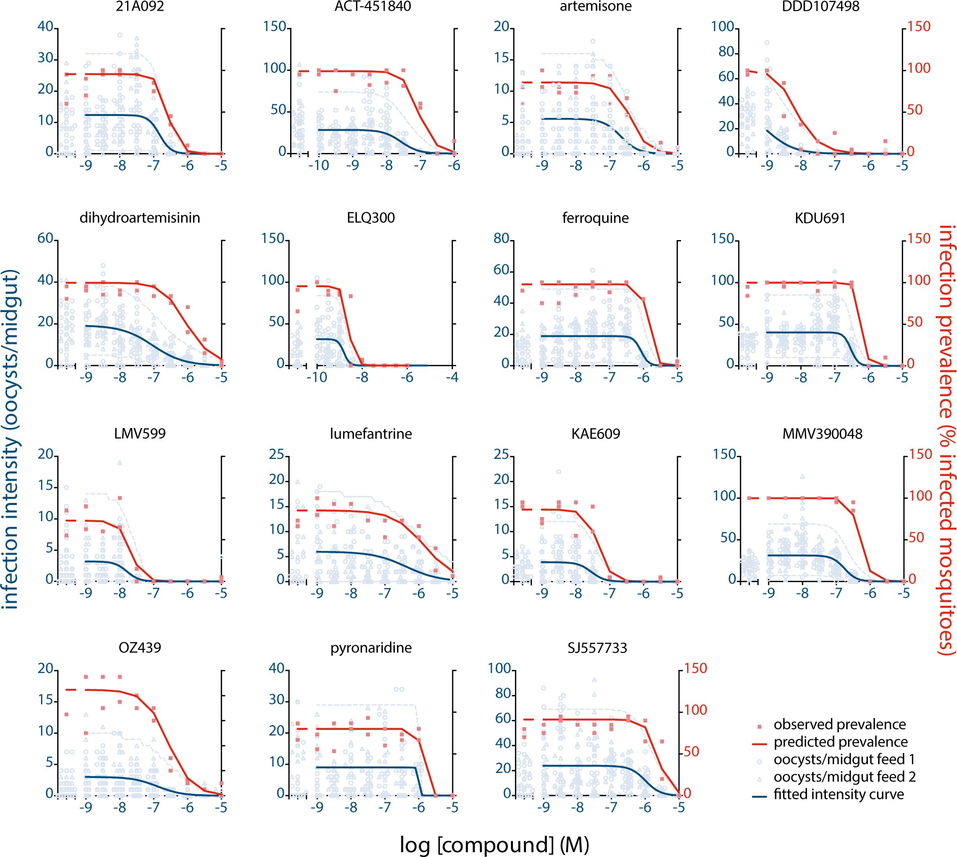
Figure 1

Dose dependent reduction of infection intensity and infection prevalence. The figure shows oocyst intensities in individual mosquitoes from two independent feeds per drug concentration tested (open symbols). The left x-axis shows the infection intensity in the vehicle control feeders. The blue line shows the fit from the BBD model. The light blue dashed lines show the region of tolerance containing 95% of the observed oocyst intensities. The solid red symbols indicate the experimentally determined infection prevalence from the proportion of infected mosquitoes per feed. The solid red line indicates the infection prevalence predicted by the BBD model based on the fitted dispersion of oocysts.