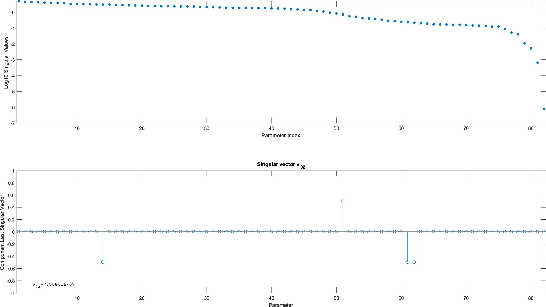
Figure 6

Observability signature JAK-STAT model for a concatenation of five trials for the sensitivity matrix (10) when x 10 and x 11 are not in the sensor set. The top graph shows all singular values for the 82 parameters in the model (including the parametrized initial conditions). The gap indicates a lack of observability and the bottom graph summarizes the parameters involved, namely \({\theta }_{14},{\theta }_{51},{x}_{10}\mathrm{(0),}\,{x}_{11}\mathrm{(0)}\). A symbolic verification confirmed a lack of observability for this particular sensor set.