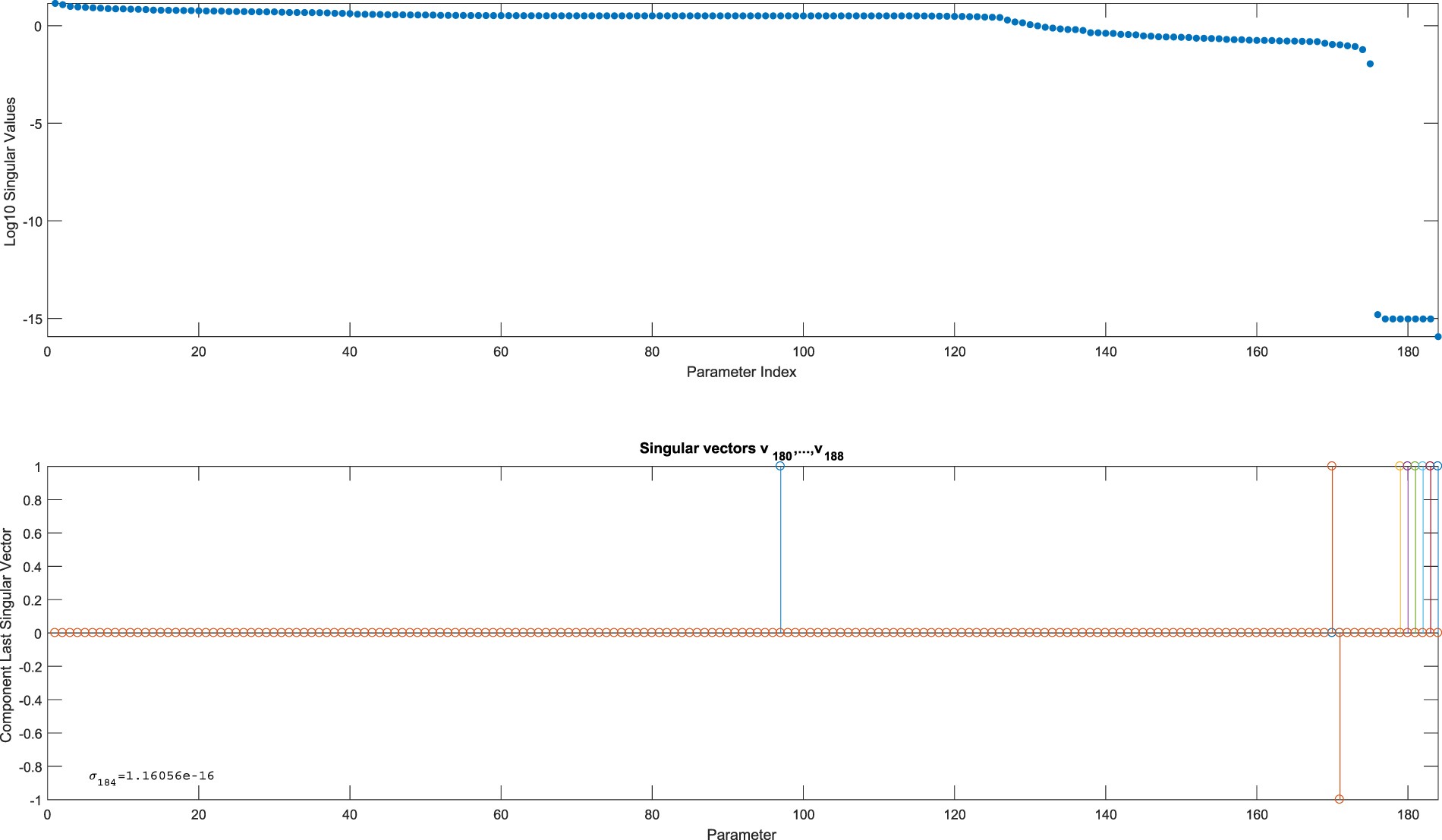
Figure 7

Observability signature Map Kinase model. The top graph shows all singular values for the 184 parameters in the model (including the parametrized initial conditions). Again, a gap is clearly visible, indicating a lack of identifiability if the one-node-sinks x 13, x 86, x 87, x 95, x 96, x 97, x 98, x 99, and x 100 are not included in the sensor set. The bottom graph shows the nullspace vector that indicates precisely these nodes.