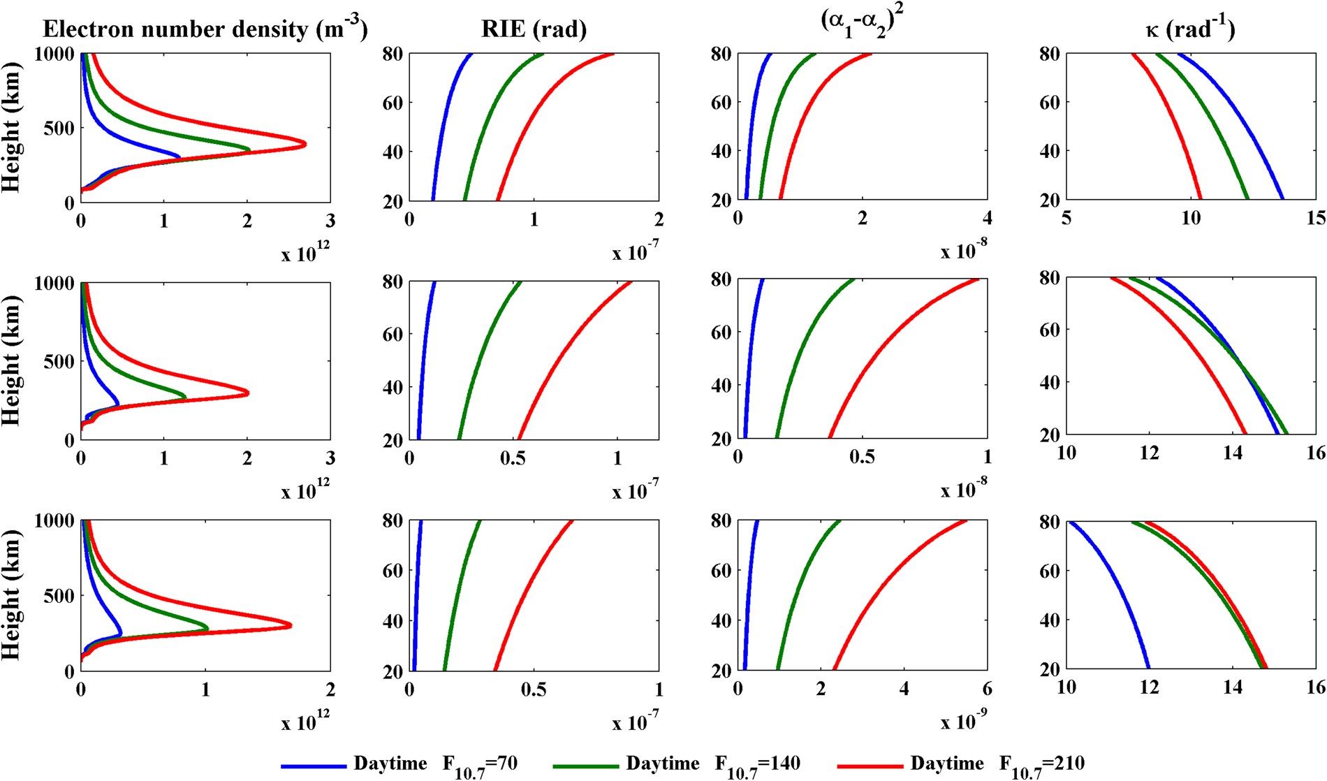
Figure 3
From: An Idealized Method of Simulating Residual Ionospheric Errors in Radio Occultation

Daytime profiles of the electron number density (first column), the RIE (second column), (α1 − α2)2 (third column) and κ (fourth column) for latitudes of 20°N (first row), 40°N (second row) and 60°N (third row). These plots were created using MATLAB R2010b (http://www.mathworks.com/).