Figure 5
From: Disulfide driven folding for a conditionally disordered protein

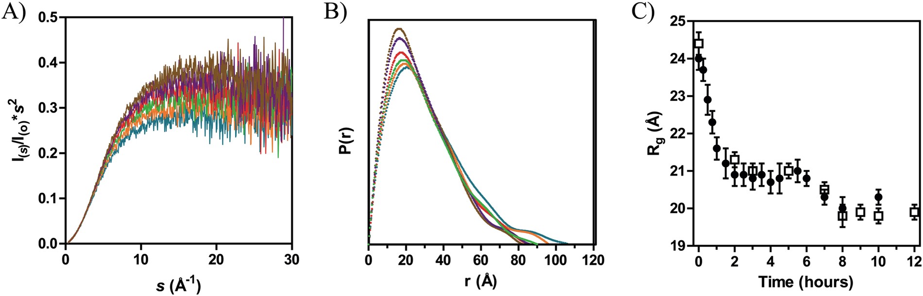
Small-angle X-ray scattering analysis of hCox17 compaction upon folding. (A) Kratky representation at selected folding time-points: 0 hours (blue), 30 minutes (orange), 1 hour (green), 2 hours (red), 4 hours (purple) and 8 hours (brown). (B) P(r) functions representing the time-points colored as in A. (C) Radius of Gyration plot versus time of folding. Both 2 mg/mL (spheres) and 3 mg/mL (squares) samples are represented with the error bars. The folding reaction was performed at pH 8.4.