Figure 3
From: Semantic discrimination impacts tDCS modulation of verb processing

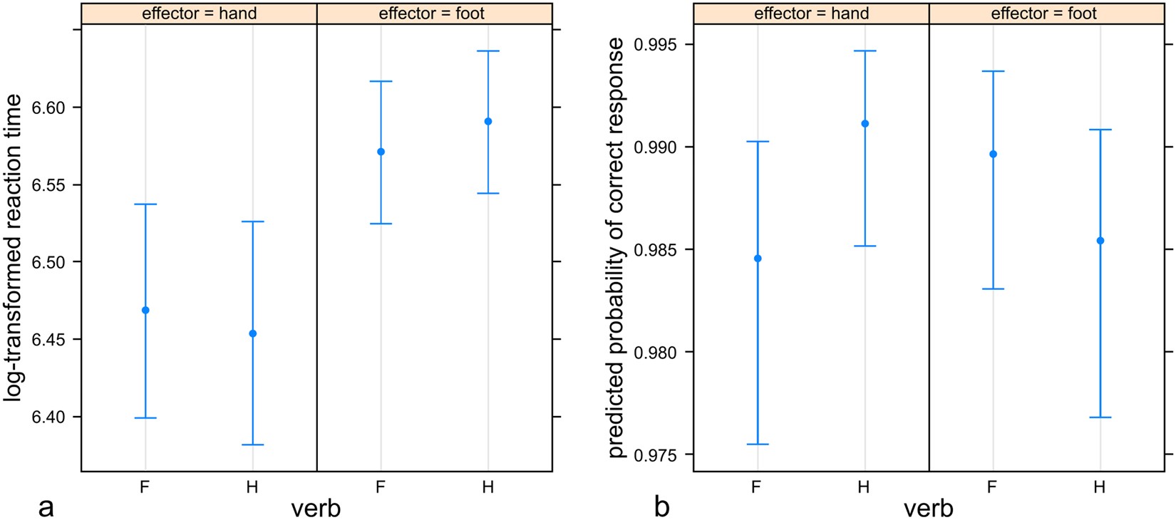
Priming effect across tDCS conditions on reaction times (a) and shape-response accuracy measures (b). Estimates and confidence intervals for verb type (H = hand, F = foot) and response effector.