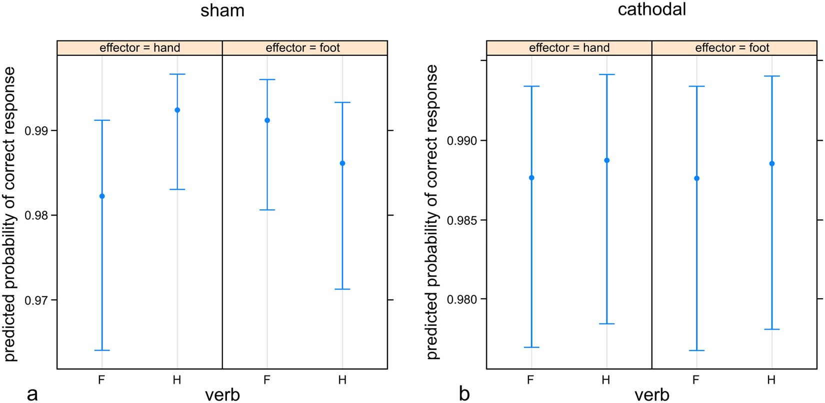
Figure 5
From: Semantic discrimination impacts tDCS modulation of verb processing

Estimates and confidence intervals for verb type and response effector in the sham (left) and cathodal (right) condition. Note the absence of priming in accuracy measures with cathodal stimulation.