Figure 1
From: Laser-induced blurring of molecular structure information in high harmonic spectroscopy

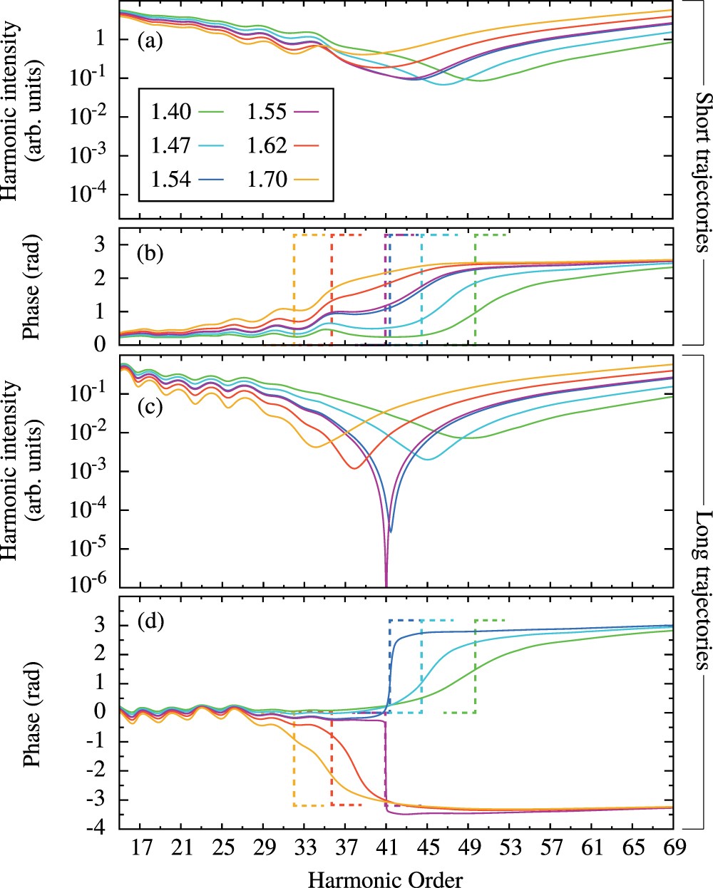
TDSE computations of the short and long trajectory contributions to HHG for a two-cycle laser pulse of 2.55 × 1014 W.cm−2 peak intensity for model molecules of different internuclear distances indicated in a.u. in the legend. We report the harmonic intensity (a) [(c)] and phase (b) [(d)] calibrated by the atomic reference for the short [long] trajectories (solid lines), and the phase of the exact transition dipole matrix element computed numerically for the different internuclear distances [dashed lines in (b) and (d)].