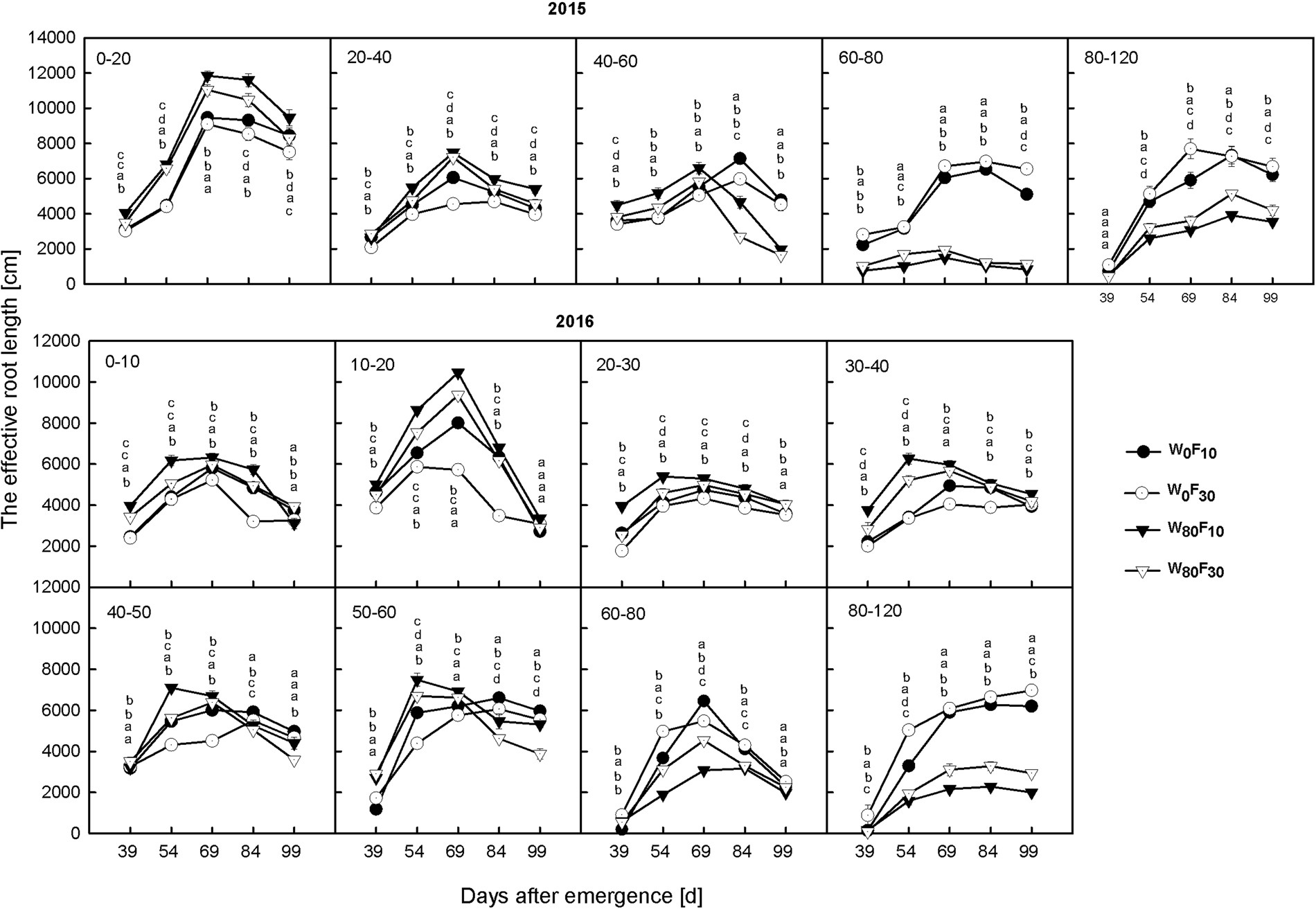
Figure 4

Changes in the effective root length in different vertical soil layer (from 0 cm to 120 cm soil layer) at pre-plant watered (W80) or no watered (W0) and base fertilizer surface (F10) or deep (F30) application with the days after emergence in 2015 and 2016. Bars indicate SD (n = 3). The different letter within a column are significantly different (P < 0.05) according to Duncan’s multiple range test.