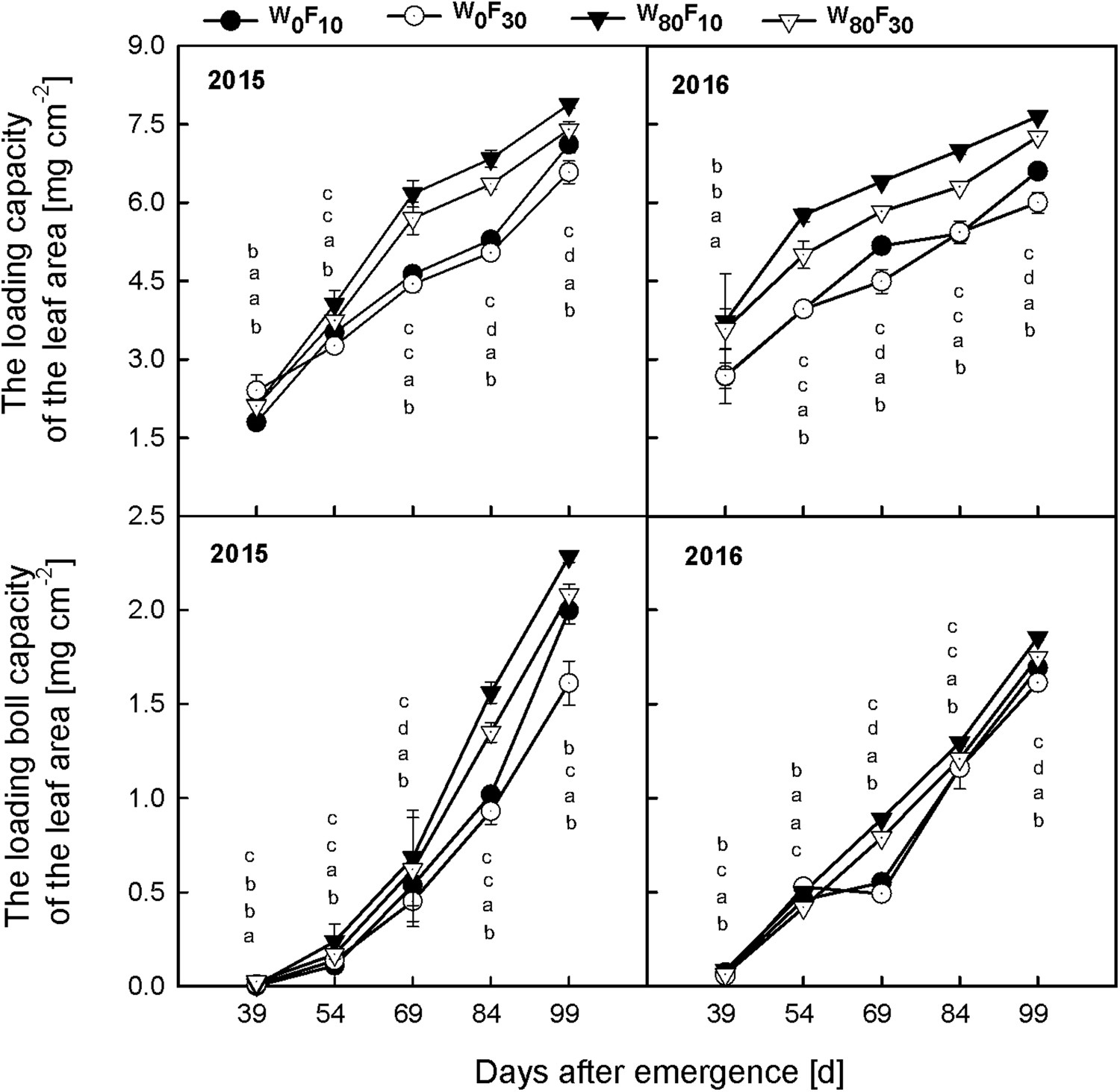
Figure 5

Change in the loading capacity (A and B) or loading boll capacity (C and D) of leaf area of cotton (mg cm−2) at pre-plant watered (W80) or no watered (W0) and base fertilizer surface (F10) or deep (F30) application with the days after emergence in 2015 and 2016. Bars indicate SD (n = 3). The different letter within a column are significantly different (P < 0.05) according to Duncan’s multiple range test.