Figure 2
From: Morphophysiological mechanism of rice yield increase in response to optimized nitrogen management

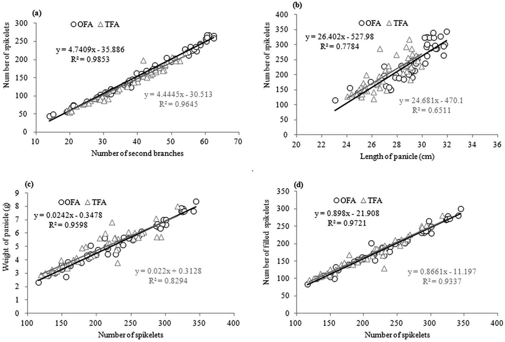
Correlation between the number of spikelets and panicle type. (a) correlation between the number of spikelets and the number of branches; (b) correlation between the number of spikelets and length of panicle; (c) correlation between the number of spikelets and the weight of panicle; (d) correlation between the number of spikelets and the number of filled spikelets. OFA: optimized nitrogen fertilizer application; TFA: traditional nitrogen fertilizer application.