Figure 4
From: Lagrangian Statistics and Intermittency in Gulf of Mexico

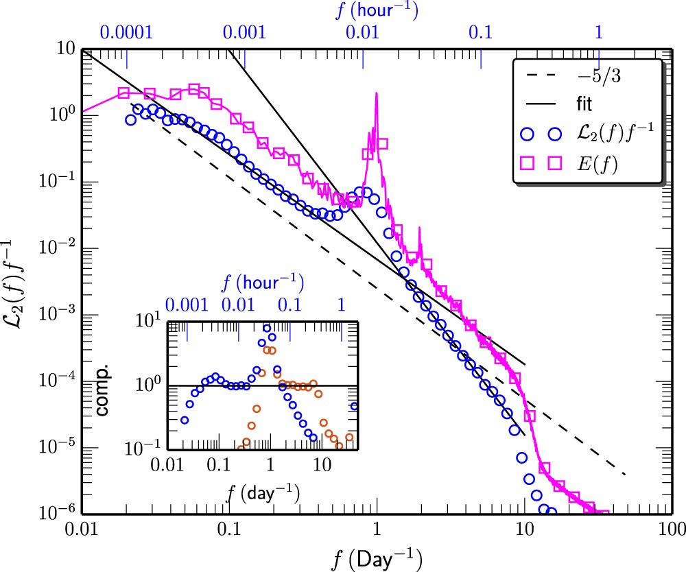
Measured Hilbert-based power spectrum \({ {\mathcal L} }_{2}(f){f}^{-1}\) (○). Power-law behavior is observed on the range \(0.1\le f\le 0.4\,\,{{\rm{day}}}^{-1}\), and \(2\le f\le 8\,\,{{\rm{day}}}^{-1}\) respectively with scaling exponent \({\beta }_{L}^{H}=1.59\pm 0.08\) and \({\beta }_{S}^{H}=2.89\pm 0.07\). For comparison, the Fourier power power spectrum E(f) is also shown as □. For display clarity, the spectrum curve has been vertical shifted. The inset shows the compensated curve to emphasize the observed power-law behavior. This figure is prepared using a Python package, namely Matplotlib.