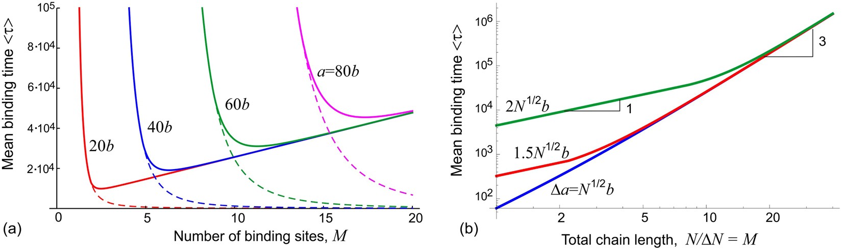
Figure 4
From: Specific binding of a polymer chain to a sequence of surface receptors

The adhesion time is plotted in units of b 2/D, for ε = b. (a) The linear plot for a fixed N = 100. The set-up is M receptors, with the final receptor placed at varying distances a away in different curves (labelled on the plot). The dashed line shows how the reaction-limited time reduces as M increases. (b) The log-log plot, for fixed ΔN = N/M = 10. From top to bottom, the distance between consecutive receptors \({\rm{\Delta }}a=\sqrt{{\rm{\Delta }}N{b}^{2}}\), \(1.5\sqrt{{\rm{\Delta }}N{b}^{2}}\), and \(2\sqrt{{\rm{\Delta }}N{b}^{2}}\). For shorter chains, there is a reach-limited linear ‘zipper’ region (gradient slope of 1 is shown), before switching to the cubic increase of time with length as chains get longer (gradient slope of 3 is shown), see Eq. (18). For larger Δa, the linear region is extended.