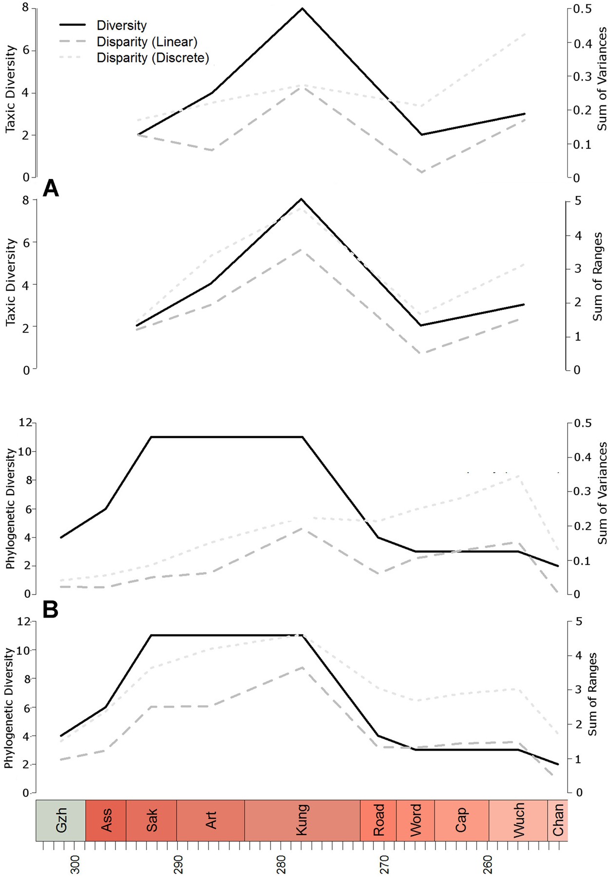
Figure 2

(A) Relationships of taxic diversity and morphological disparity, (B) relationships of phylogenetic diversity and morphological disparity incorporating ghost lineages over time. Disparity is expressed both as sum of variances and sum of ranges.