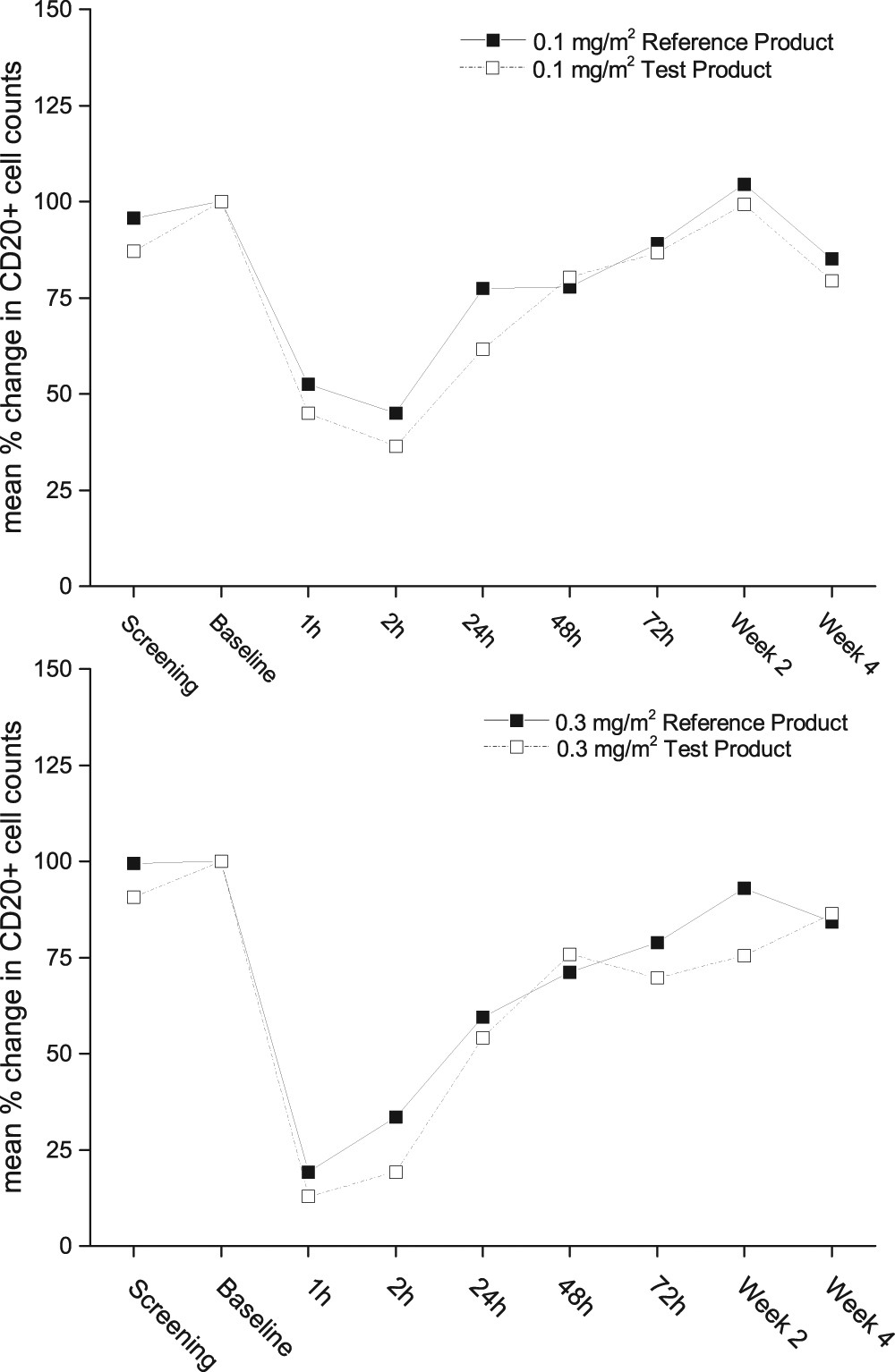
Figure 3

Mean % changes from baseline in CD20+ cell counts after infusion of 0.3 mg/m2 (n = 4 for the reference product, n = 8 for the test product) and 0.1 mg/m2 (n = 12, per group) of the rituximab test or reference product are presented. Time-points: Screening visit, Baseline: before infusion, 1 h: End of infusion or 1 h after start of infusion, 2 h: 2 h after start of infusion, week 2 after infusion, week 4 after infusion.