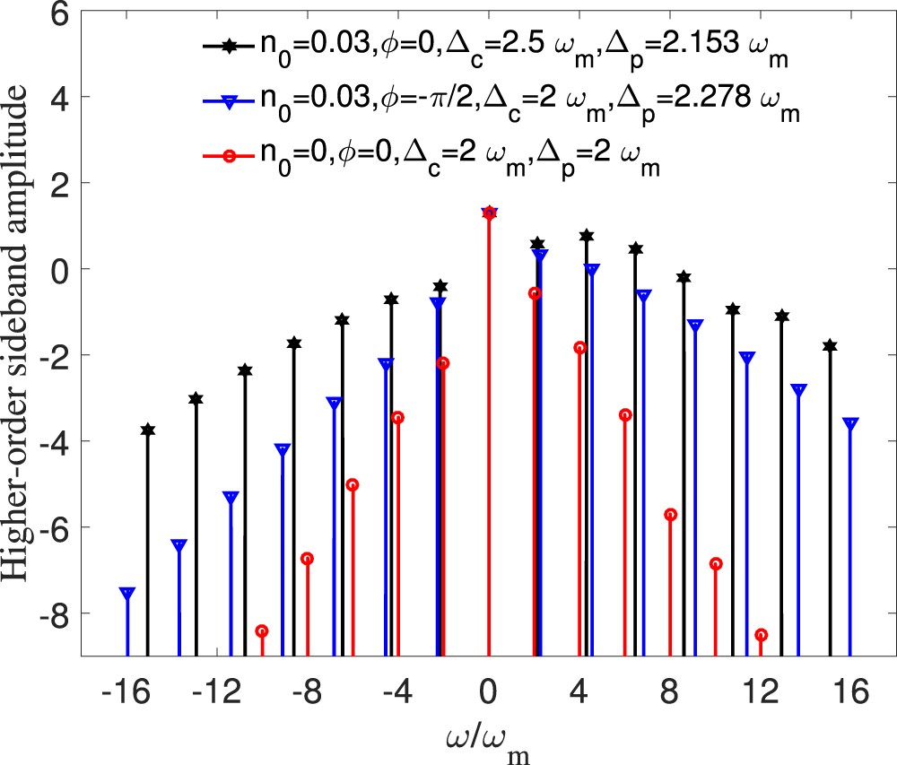
Figure 6 | Scientific Reports