Figure 7
From: Blueprint for Large-Scale Silicon Optical Phased Array Using Electro-Optical Micro-Ring Pixels

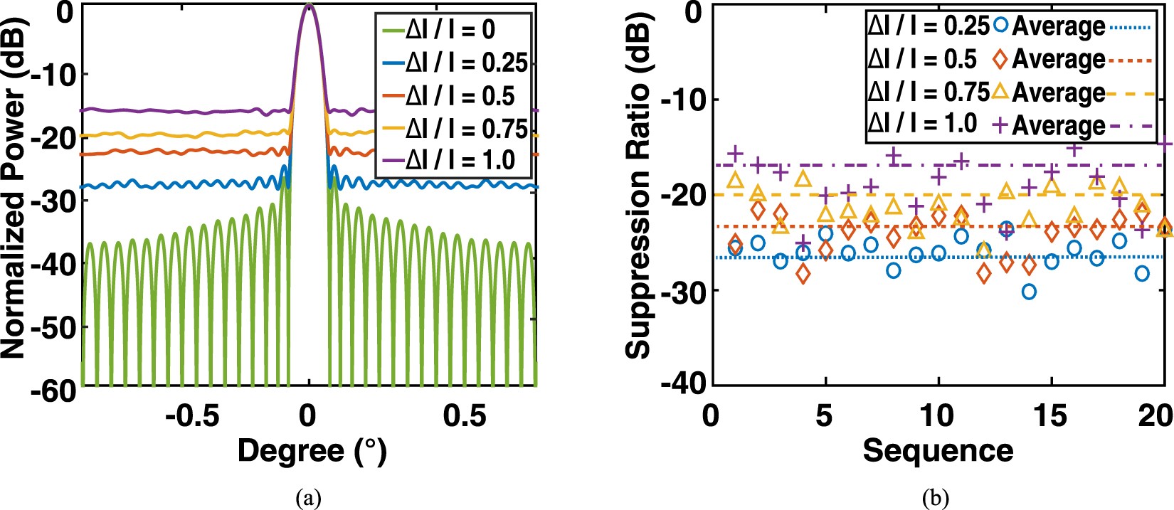
Monte Carlo simulations of the intensity error induced by the imperfections of fabrication, in which ΔI/I is assumed to be a normal distribution with standard deviations of 0, 0.25, 0.5, 0.75, 1.0, respectively. (a) Averaged far-field angular distribution. (b) Side-lobe suppression ratio (dB) in a sequence of simulations.