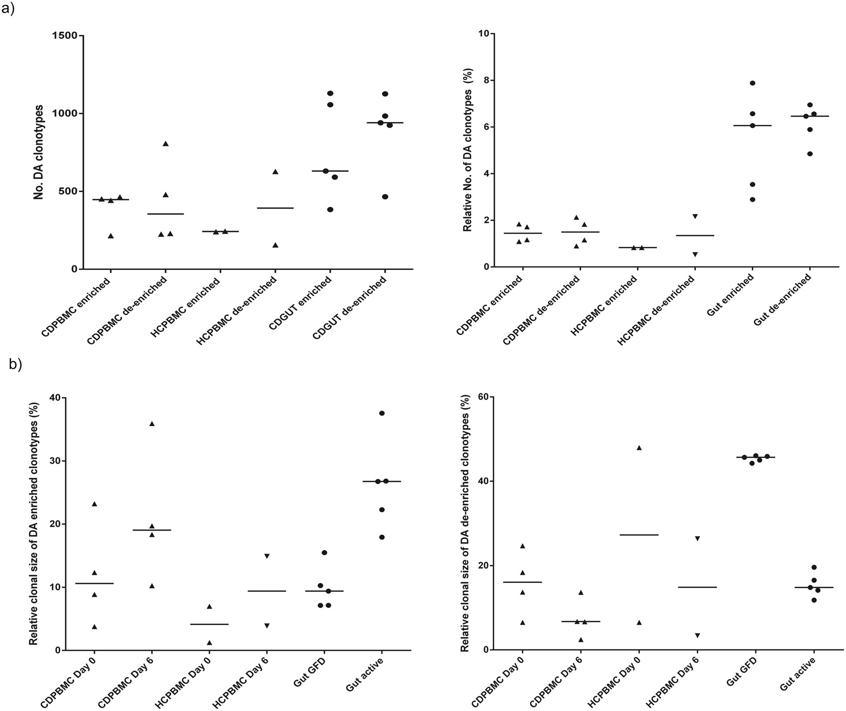
Figure 4

Enriched and de-enriched clonotypes in each subject. Differential abundance analysis between the gluten unexposed and gluten exposed repertoires of each subject was performed. (a) Left panel, the analysis determined a median of 448 enriched (i.e., substantially higher frequency) (range: 216–465) and 355 de-enriched (i.e., substantially lower frequency) (range: 226–808) clones following gluten challenge in CD patient PBMC repertoires. In healthy controls, 243 enriched (range: 241–245) and 393 de-enriched (range: 157–628) clonotypes were estimated. For gut repertoires, for which samples were taken one year apart, an average of 631 enriched (range: 384–1130) and 941 de-enriched (range: 466–1127) clonotypes were observed during active disease. Right panel, the number of both enriched and de-enriched unique amino acid clonotypes relative to the total number of all unique amino acid clonotypes observed in the two repertoires of each subject is shown. (b) The relative clonal size (relative to total sequencing reads) of the enriched and de-enriched clonotypes, before and after gluten exposure. For both enriched and de-enriched, the combined clonal size of the DA clonotypes in each subject is shown. Horizontal bars indicate median.