Figure 7
From: Quantum Correlations and Coherence of Polar Symmetric Top Molecules in Pendular States

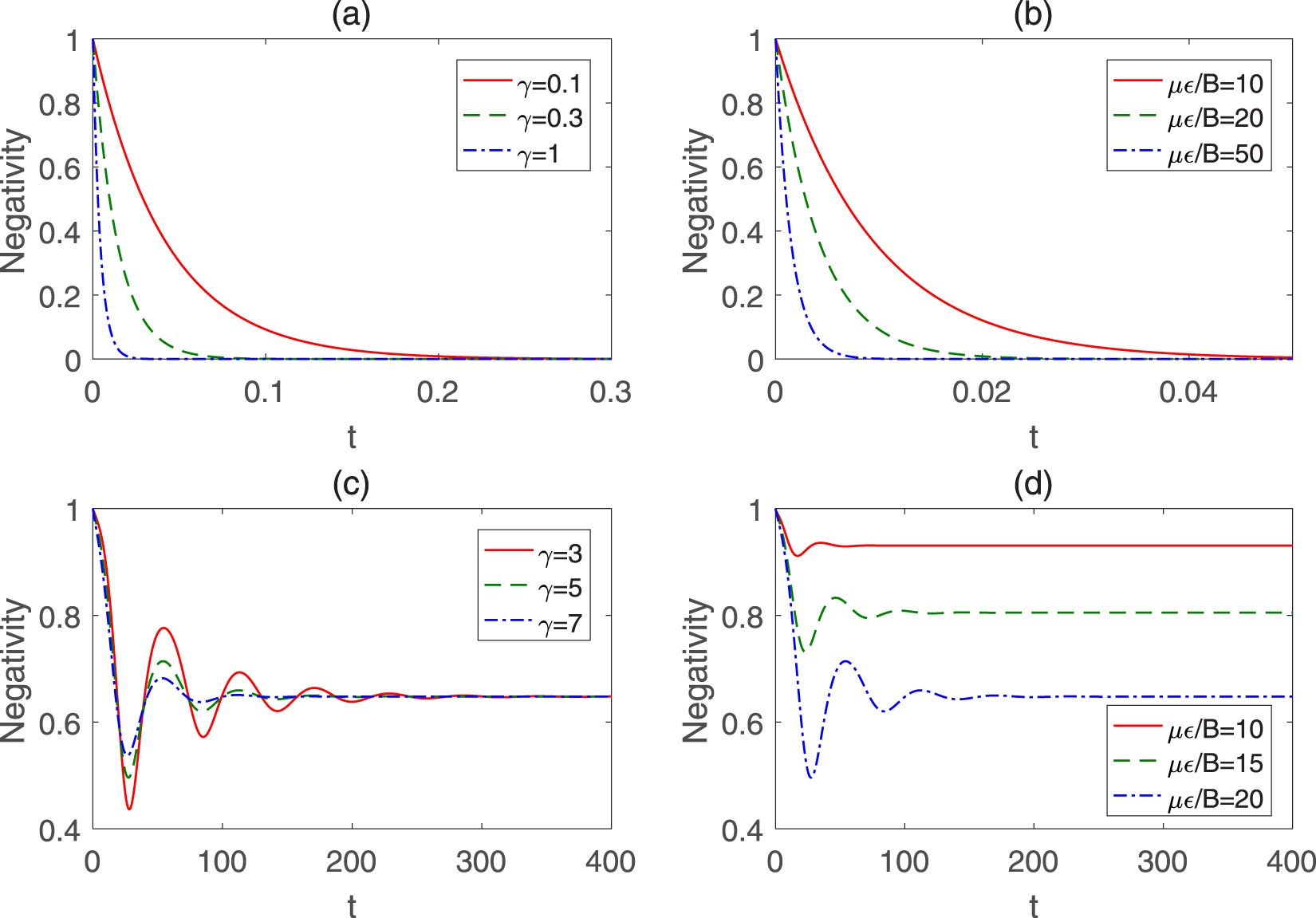
Temporal evolutions of the negativity with Ω/B = 1 for two kinds of different initial states. The initial Bell state is in the form of \((|00\rangle +|11\rangle )/\sqrt{2}\) for (a) different γ with με/B = 20 and (b) different με/B with γ = 1, the initial Bell state is in the form of \((|01\rangle +|10\rangle )/\sqrt{2}\) for (c) different γ with με/B = 20 and (d) different με/B with γ = 5.