Figure 2
From: Large dynamic range pressure sensor based on two semicircle-holes microstructured fiber

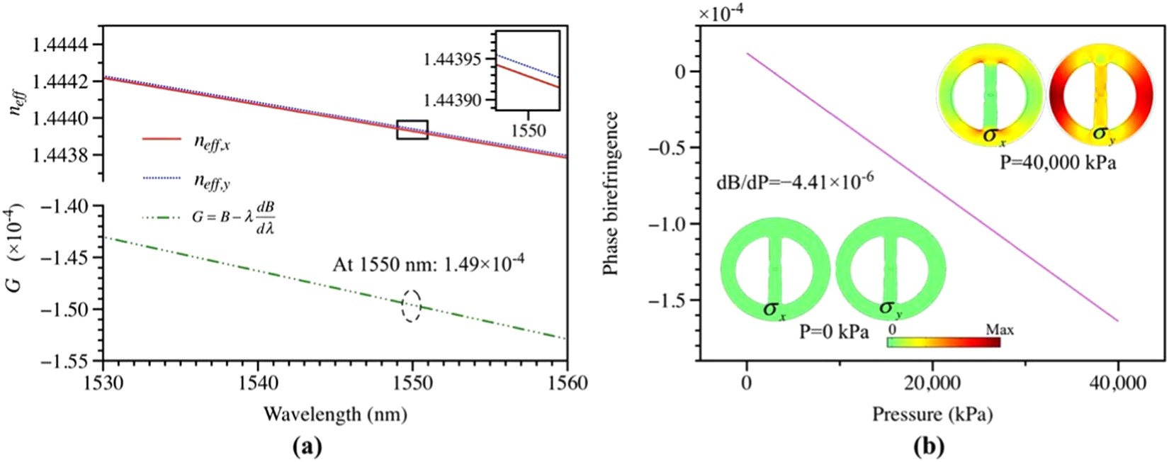
(a) Calculated effective index of the two polarized modes and group modal birefringence with respect to wavelength, and (b) calculated linear response of phase modal birefringence with applied pressure on the outer boundary of the fiber. Insets of (b) show the stress distribution on x and y direction under the applied pressure of 0 kPa and 40,000 kPa.