Figure 5
From: Large dynamic range pressure sensor based on two semicircle-holes microstructured fiber

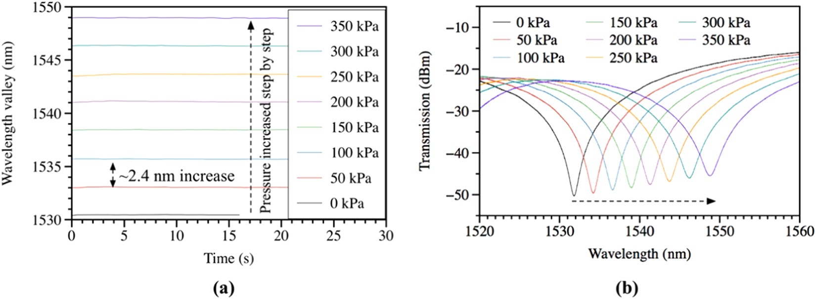
Experimental results of low-pressure measurement up to 350 kPa with step of 50 kPa: (a) wavelength change with pressure and (b) the spectra shift of a valley.