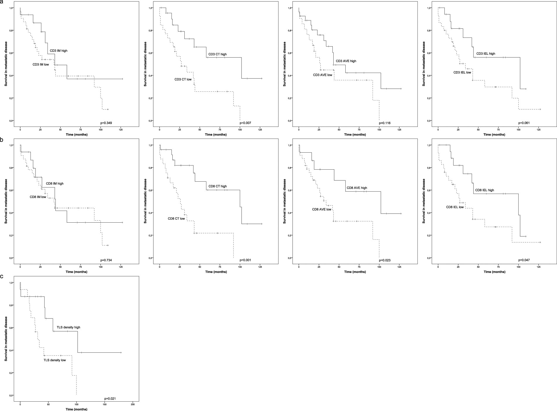
Figure 2

Survival analysis of metastatic HER2+ breast cancer in the presence of low or high T-cell infiltration. ROC analysis was used to set the optimal cutoff scores. (a) Kaplan-Meier estimates illustrating the association of CD3 stained T-cells with survival in IM, CT, AVE (IM + CT) and IEL locations (cutoffs 700, 300, 300 and 20 cells/mm2). (b) Kaplan-Meier estimates illustrating the association of CD8 stained T-cells with survival in IM, CT, AVE (IM + CT) and IEL locations (cutoffs 300, 120, 230 and 20 cells/mm2). (c) Kaplan-Meier estimates illustrating the association of TLS density (n = 31) with survival (cutoff 6.5 lymphoid follicles).