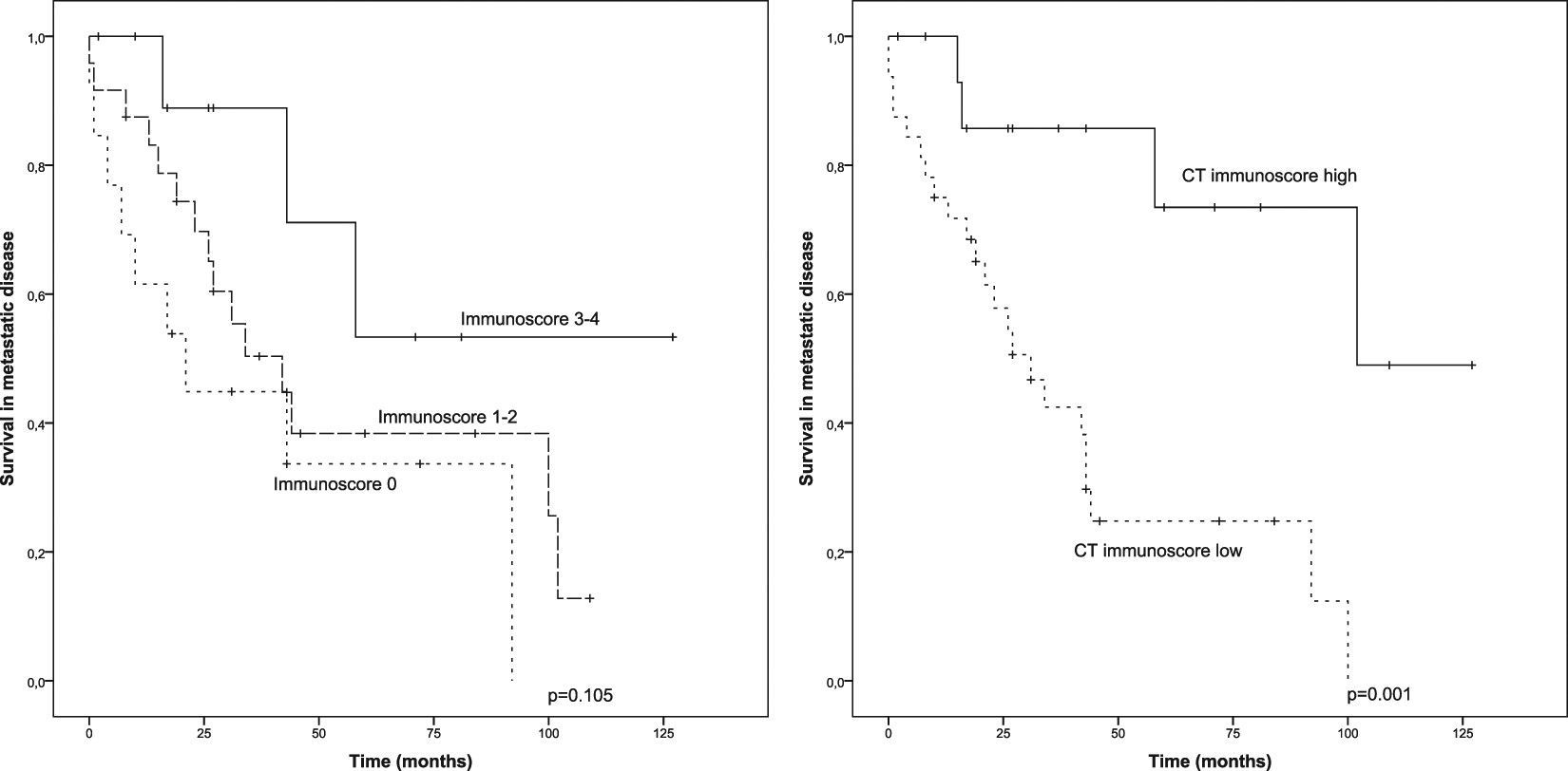
Figure 4

Survival analysis based on Immunoscore (CD3 + CD8). Kaplan-Meier estimates demonstrate the association of Immunoscore and CT Immunoscore with survival in metastatic disease. Immunoscore (CT + IM) is divided into 3 groups (0, 1–2, 3–4), where group 0 represents tumours with lowest densities of CD3 and CD8 and group 3–4 tumours with the highest densities. CT Immunoscore is divided into 2 groups (high, low) and tumours with high density of both CD3 and CD8 resulted as CT Immunoscore high.