Figure 4
From: Radiogenomic analysis of hypoxia pathway is predictive of overall survival in Glioblastoma

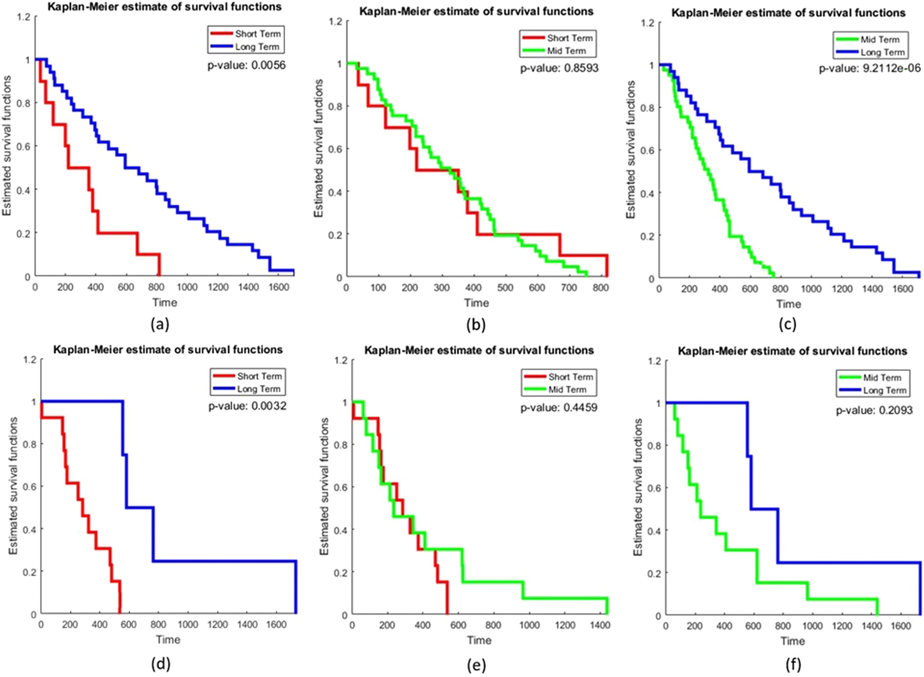
KM curve generated for training (a,b,c) and independent validation set (d,e,f) using the top radiomic features (a) short-term (red) and long-term (blue) (p = 0.0056) (b) mid-term (green) and short-term (red) (p = 0.8593) and (c) mid-term (green) and long-term (blue) GBM survivors (p = 9.21 × 10−6) (d) short-term (red) and long-term (blue) (p = 0.0032) and (e) mid-term (green) and short-term (red) GBM survivors (p = 0.4459) (f) mid-term (green) and long-term (blue) (p = 0.2093).