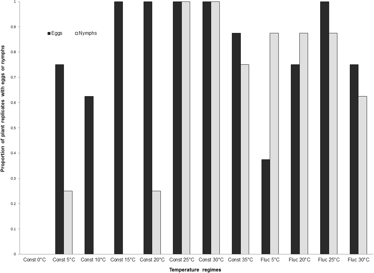
Figure 1

Proportion of barley plants (N = 8 per temperature treatment) with eggs or nymphs of Aster leafhopper after 18 days of incubation at various constant (Const) and fluctuating (Fluc) temperatures (°C).

Proportion of barley plants (N = 8 per temperature treatment) with eggs or nymphs of Aster leafhopper after 18 days of incubation at various constant (Const) and fluctuating (Fluc) temperatures (°C).