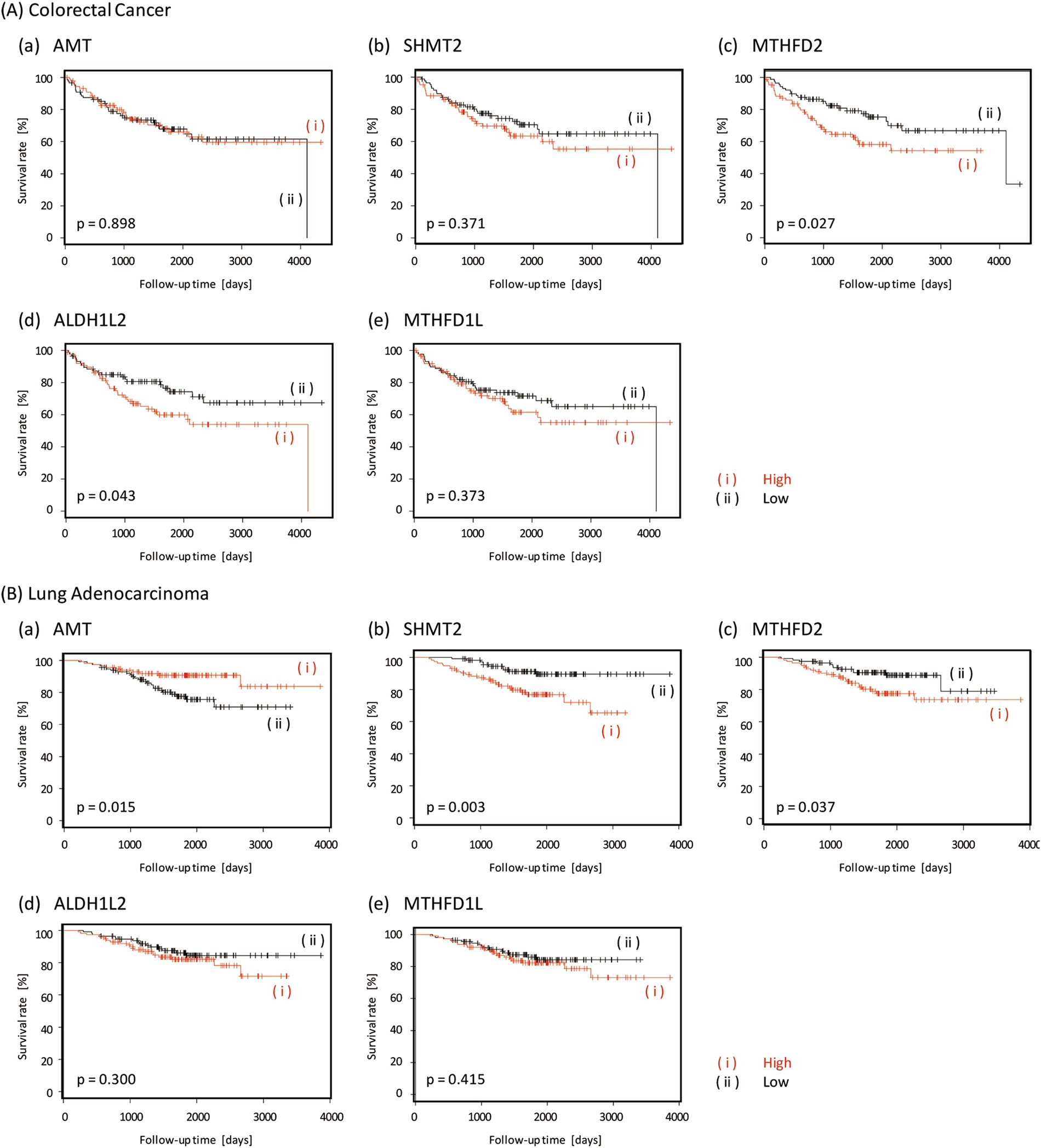
Figure 3

Kaplan–Meier curves of overall survival for (A) colorectal cancer and (B) lung adenocarcinoma according to the expression of genes involved in mitochondrial-specific folate metabolism (a) ATM, (b) SHMT2, (c) MTHFD2, (d) ALDH1L2, and (e) MTHFD1L.