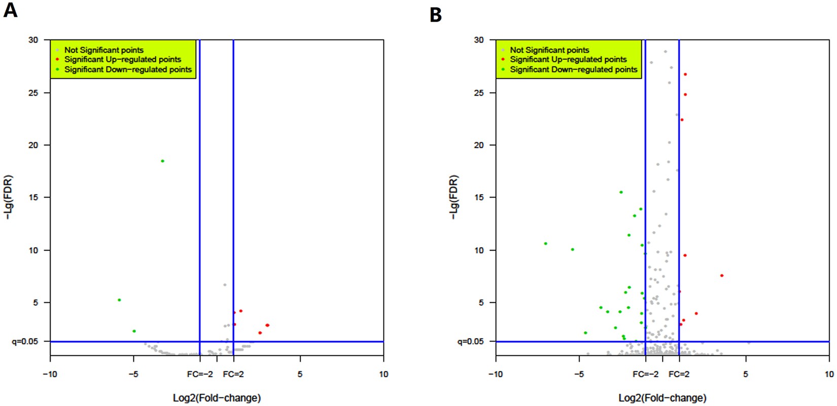
Figure 3
From: Differentially expressed microRNAs between cattleyak and yak testis

Volcano plot: Log2 values of relative expression of known (A) and novel (B) testis miRNAs (cattleyak related to yak) versus −Log10 of false discovery rate (FDR). Horizontal line is at P = 0.05 and vertical lines are at fold change (FC) = ±2.