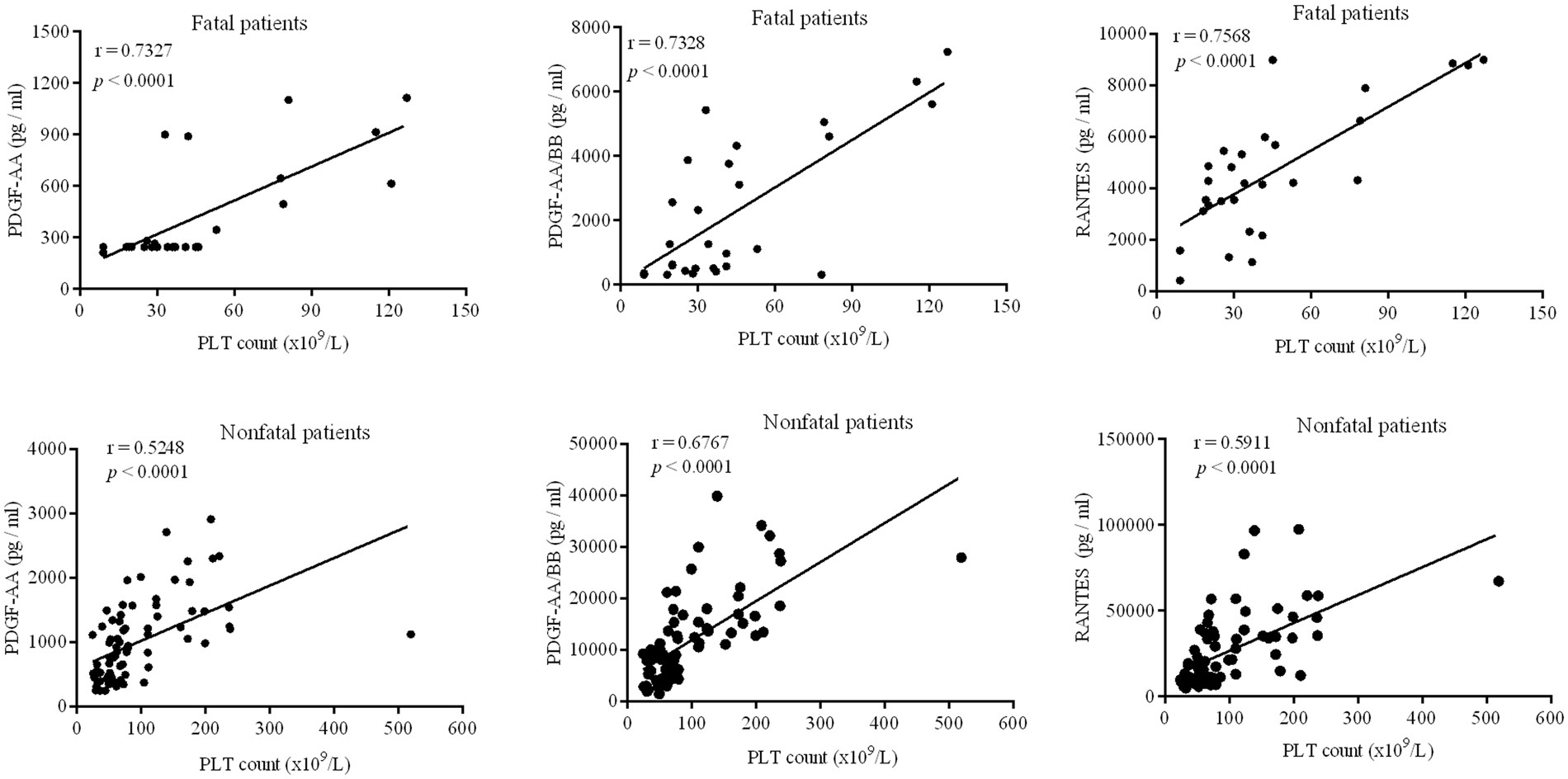
Figure 2

Correlation between PDGA level and platelet count as well as RANTES level and platelet count in patients of severe fever with thrombocytopenia syndrome. Logistic regression analysis was used to show the correlations between the PDGA level and platelet count as well as the RANTES level and platelet count. The best-fit lines are shown on each graph. On the graphs, r and P indicate the correlation coefficient and the P-value of significance, respectively. Abbreviations: PLT, platelet; PDGF, platelet-derived growth factor; RANTES, regulated on activation and normally T-cell expressed.