Figure 5
From: Determinants of population responses to environmental fluctuations

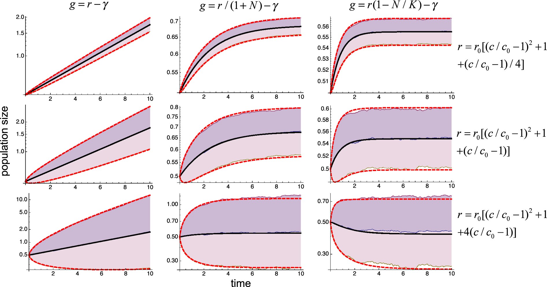
Effects of linear terms. Values of \({e}^{\bar{y}+\sqrt{\langle {\eta }^{2}\rangle }}\), \({e}^{\bar{y}}\), and \({e}^{\bar{y}-\sqrt{\langle {\eta }^{2}\rangle }}\) computed over 1,000 realizations of the dichotomous process (shaded regions) are compared with the results from Eqs (3) and (5) (thick lines) for growth rates given by all the combinations of Eqs (21), (22) and (23) with three different values of the linear term in Eq. (24). The fluctuating parameter \(c=\bar{c}+\varepsilon (t)\) has external fluctuations ε(t) generated with a dichotomous random process with zero mean, standard deviation σ = 0.5, and correlation time τ = 0.05. The values of the remaining parameters are γ = 1, r0 = 1, and c0 = 1. The initial condition is N = 0.5.