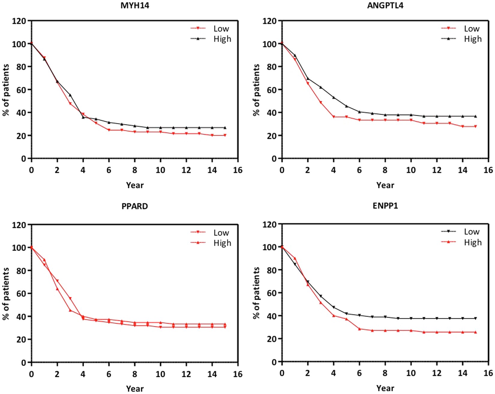
Figure 6

Clinical data of head and neck cancer from TCGA (n = 248), relative to proposed molecular targets. Low expression of (A) MYH14 and (B) ANGPTL4 (red line) and high expression (black line); (C) low and high expression (red lines) of PPARD; and high (red line) and low expression (black line) of ENPP1, in alive patients. Dotted gray lines represent gene expression of dead patients.