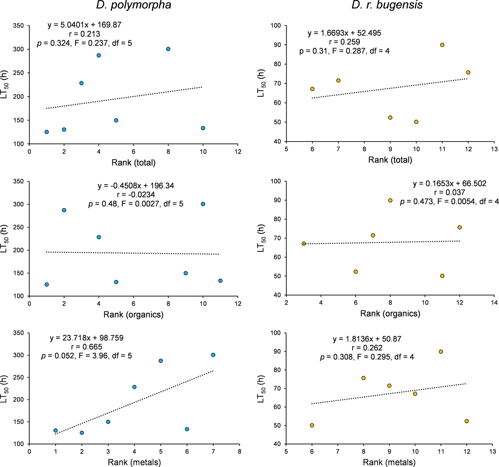
Figure 3

Simple linear regressions between LT50 and global contamination (rank) on sampling sites, for the two species separately (D. polymorpha on the left, n = 7; D. r. bugensis on the right, n = 6) and for the three rank types (total, organics and metals). For each regression, equation, correlation coefficient (r), p-value (p), F-statistic (F) and degree of freedom (df) of the model are mentioned.