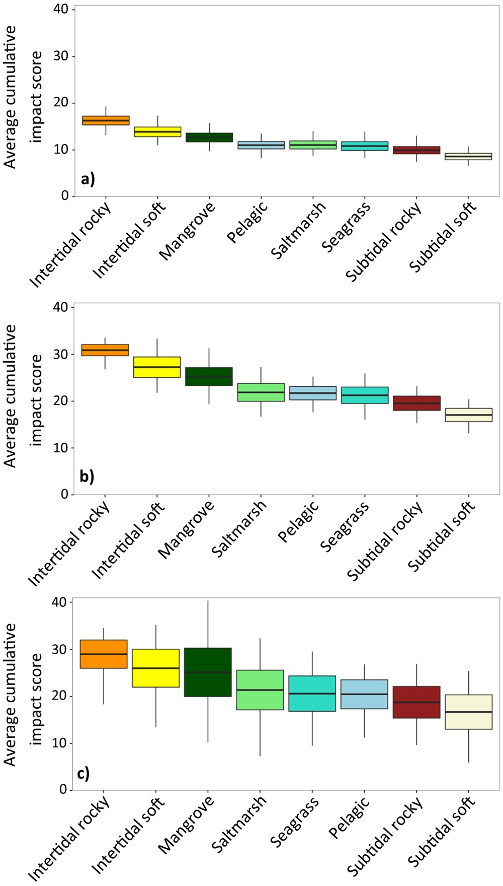
Figure 4
From: Capturing expert uncertainty in spatial cumulative impact assessments

Summary plots of spatial cumulative impact scores from simulations that accounted for knowledge-based uncertainty. For each of 1000 simulations some random error was added to the expert effect scores for each ecosystem and threat combination and the adjusted scores were used to calculate cumulative impact. (a) Using the expert’s self-assessed uncertainty data, simulated values were drawn from a beta distribution centred on the most-likely score and bounded by the best-case and worst-case scores (Eqs 4 and 5). For (b) and (c), simulated random errors were drawn from a uniform distribution based on (b) our expert self-assessed uncertainty method (Eq. 3) and (c) assumed uncertainty method proposed by Stock and Micheli19 (Eq. 4). In all panels the bold horizontal line shows the average cumulative impact score for each ecosystem class from 1000 simulations, box extents show the standard deviation of this average and vertical lines extend to the minimum and maximum average cumulative impact per ecosystem recorded across all 1000 simulations.