Figure 4
From: Melatonin increases chilling tolerance in postharvest peach fruit by alleviating oxidative damage

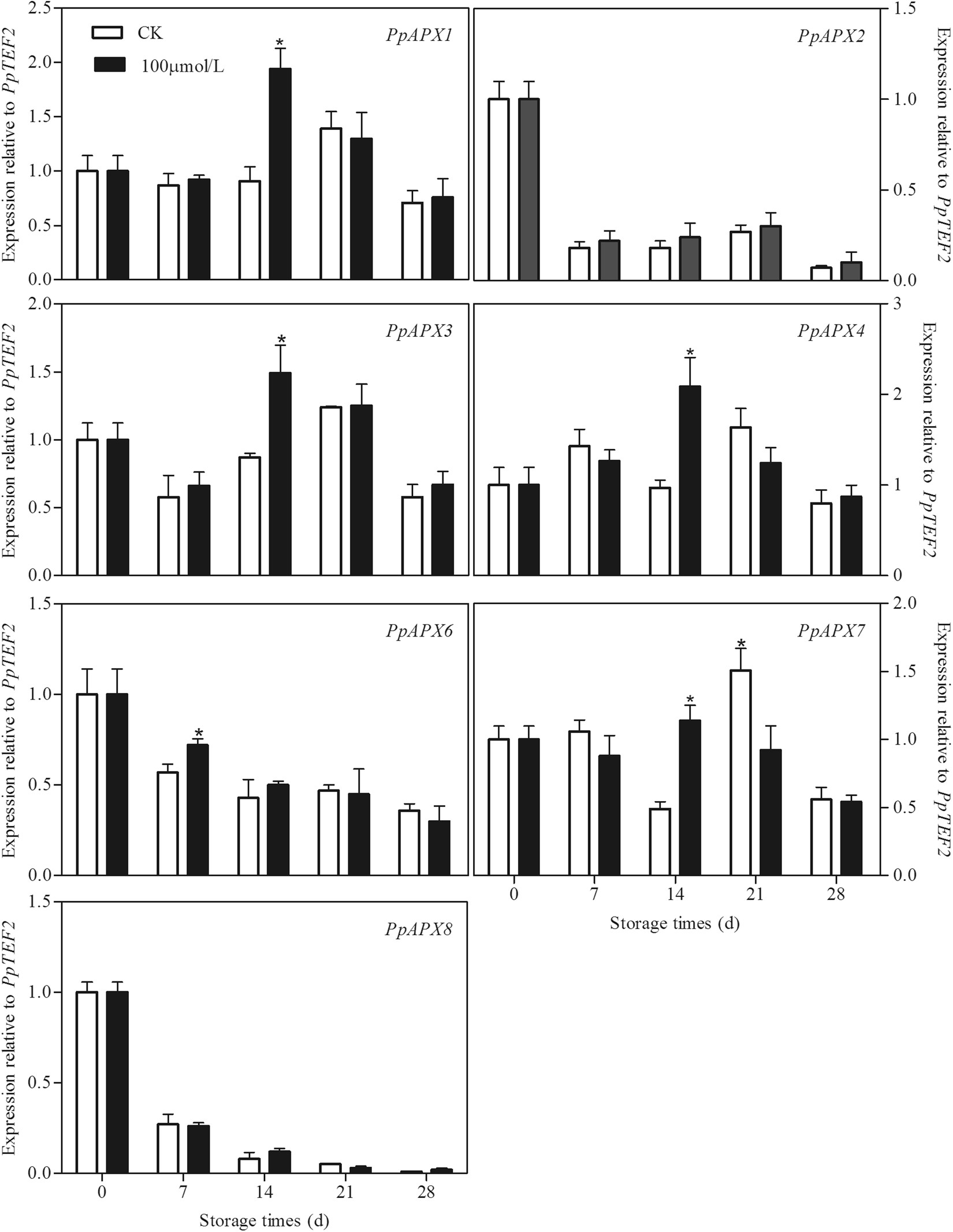
Effect of exogenous melatonin treatment on expression of PpAPX genes in peach fruit during storage at 4 °C. All data is presented as a mean of three biological replicates and error bars represent ± standard errors. Transcript abundance was determined using qPCR and was normalized using PpTEF2. APX, ascorbate peroxidase. Asterisks (*) indicate significant differences between melatonin-treated and control samples (Student’s unpaired T test; *P < 0.05, **P < 0.01, and ***P < 0.001).