Figure 4
From: Signatures of Plexcitonic States in Molecular Electroluminescence

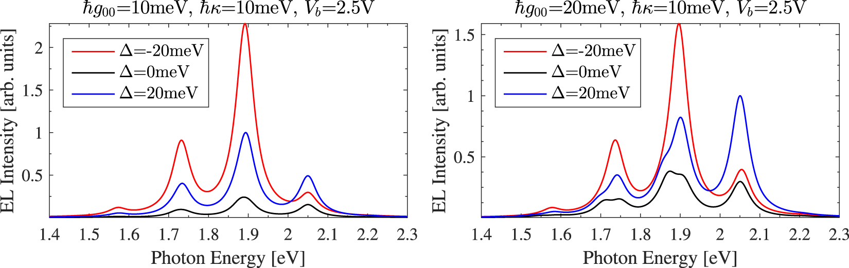
The calculated STML of a TPP molecule coupled to a single plasmon in the weak (left panel) and strong (right panel) coupling regimes for several detuning values. The EL is enhanced by detuning the plasmon and molecular excitation resonances since the plasmonic nanocavity lifetime is limited by κ. In the strong coupling regime (\(|{g}_{00}|/\kappa > 0.25\)), detuning can be used to favor the upper or lower plexcitonic state. Simulations are for junctions operating at T = 80 K.