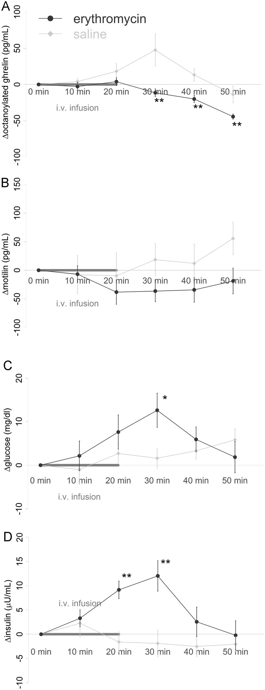
Figure 2

Plasma hormone and blood glucose changes after erythromycin infusion compared to saline. (A) Plasma octanoylated ghrelin levels decreased after erythromycin infusion, and increased after placebo infusion. The difference between erythromycin and placebo was significant at t = 30, 40, and 50 min (**p < 0.01). (B) Plasma motilin levels decreased after erythromycin infusion, and increased after placebo infusion, but this difference was not significant. (C) Blood glucose levels increased after erythromycin compared to placebo. The difference between erythromycin and placebo was significant at t = 30 (*p < 0.05). (D) Plasma insulin level increased after erythromycin infusion compared to placebo infusion. The difference between erythromycin and placebo was significant at t = 20 and 30 min (**p < 0.01). Data are shown as mean ± SEM.