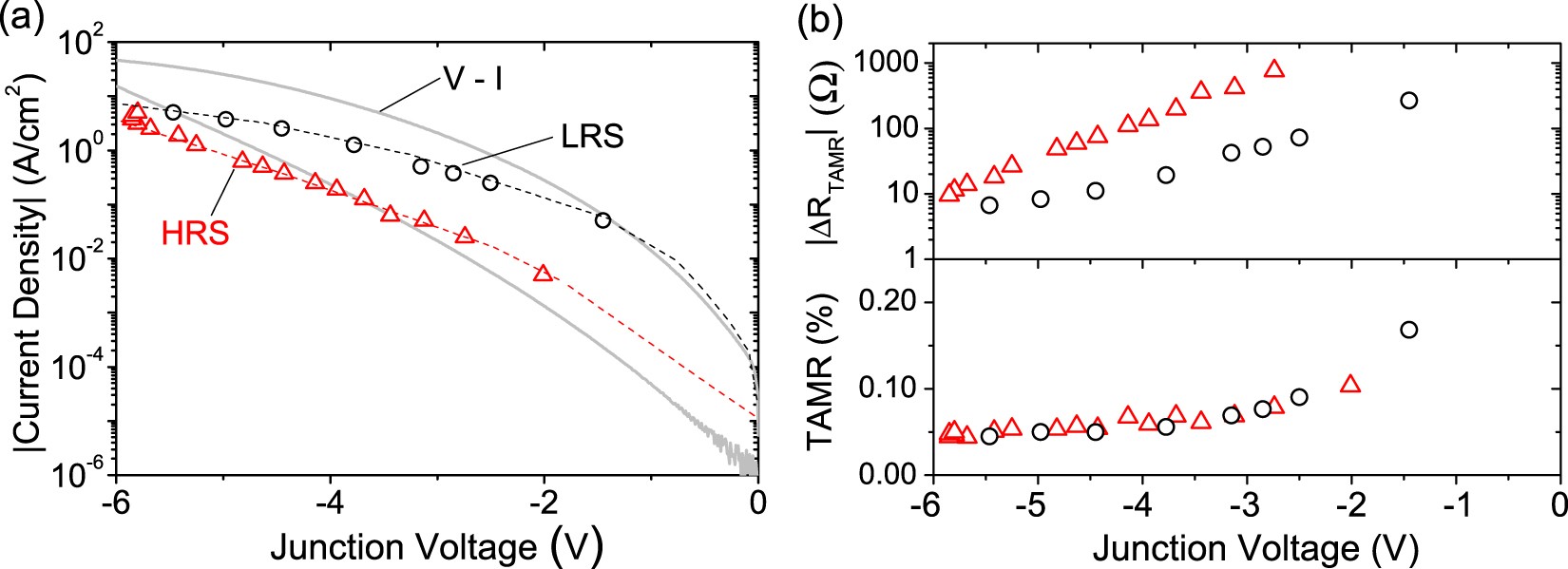
Figure 3

(a) Current density versus average background junction voltage during the LRS-TAMR measurements (black circles) and HRS-TAMR measurements (red triangles). For reference an J–V measurement from Fig. 1c is shown in light gray. (b) (top panel) The junction resistance change due to the TAMR effect, (ΔRTAMR = ΔVTAMR/Ibias). The junction voltages of the TAMR measurements correspond with the data which is shown in panel (a). Hence, the corresponding bias current for each HRS/LRS TAMR measurement can be found in panel (a). (bottom panel) TAMR(%) as function of junction voltage. The collapse of all data points on a single line shows that the TAMR effect is independent of the ER switching.