Figure 8
From: Collective responses in electrical activities of neurons under field coupling

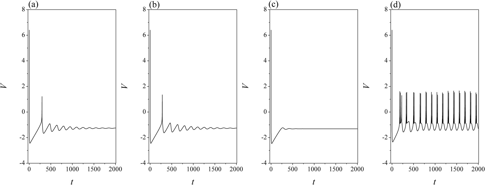
Sampled time series for membrane potential of neuron (i = 80) are calculated by applying different stimulus current. The weight coefficient W = 1 and electric coupling D = 0, for (a) I = 1.2, D0 = 0.0001; (b) I = 1.2, D0 = 0.00048; (c) I = 1.0, D0 = 0.0001; (d) I = 2.0, D0 = 0.0001.