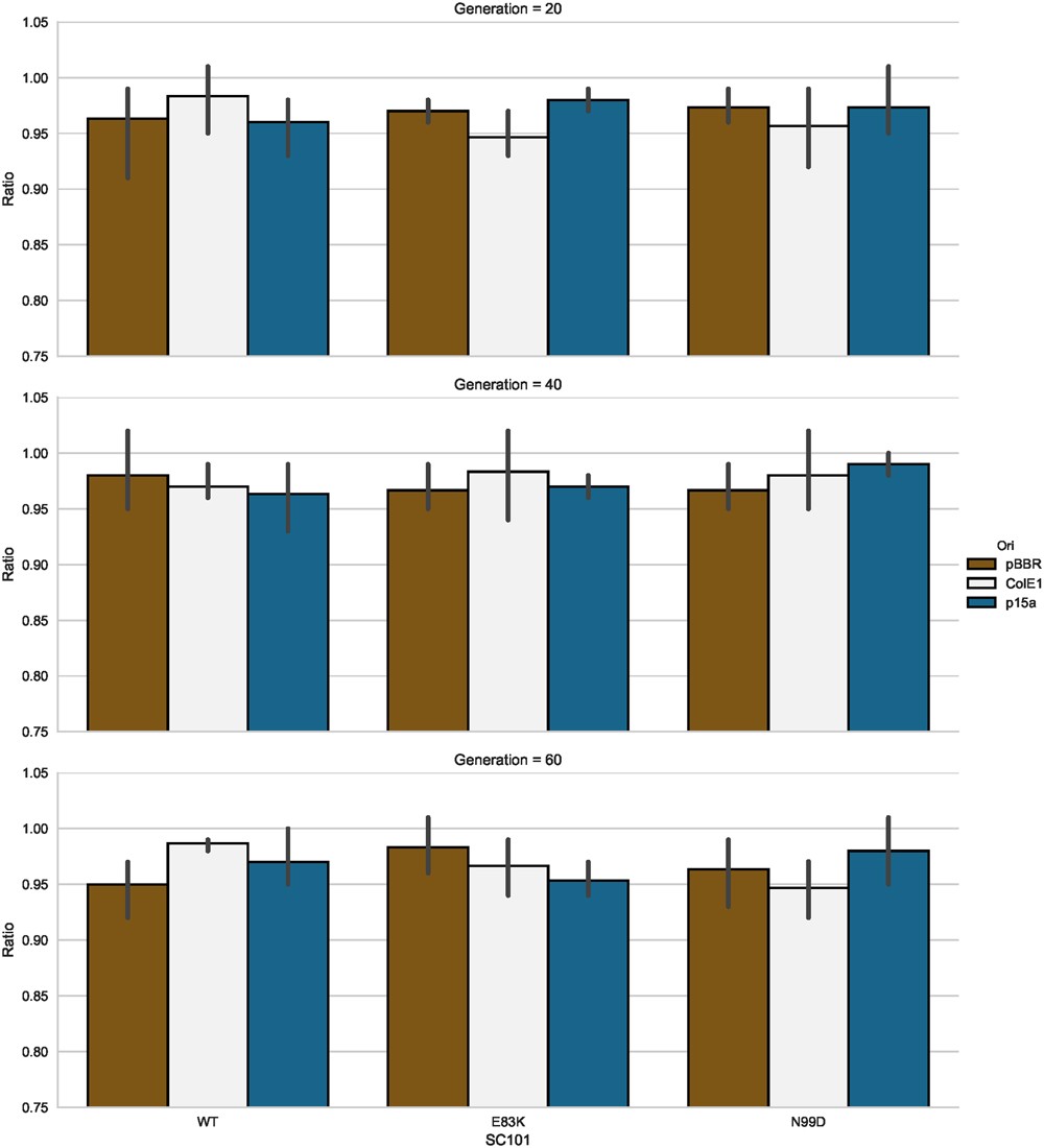
Figure 6
From: Isolation and characterization of novel mutations in the pSC101 origin that increase copy number

Plasmid compatibility of potentially useful pSC101 origin mutants with other commonly used E. coli plasmid origins. pSC101 wt and the E83K and N99D mutants encoded kanamycin resistance, while pBBR and p15a encoded carbenicillin resistance. Ratios of the number of CFUs recovered on Carb/Kan LB plates relative to the number of CFUs recovered on LB Carb alone. Error bars represent 95% CI.