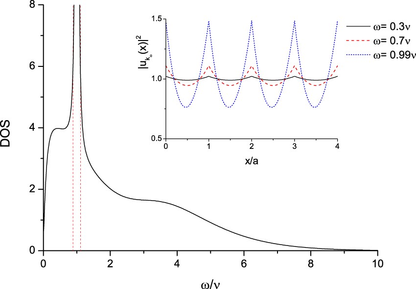
Figure 3
From: Transport of Photonic Bloch Wave in Arrayed Two-Level Atoms

DOS. (a) Density of photonic Bloch state. The two dotted lines show where the energy gap appears between 0.914ν & 1.089ν. (b) The inset shows the probabilities of the Bloch wave functions \(Na|\langle x|{{\rm{\Psi }}}_{{k}_{\omega }}\rangle {|}^{2}=|{u}_{{k}_{\omega }}(x{)|}^{2}\) at different ω’s: 0.3ν (solid), 0.7ν (dashed), & 0.99ν (dotted). Here, we use the same parameters as in Fig. 2. (In the natural units (ħ = c = 1) taken in this paper, the resonance energy is ν. And actually it is ħν, if we put ħ back).