Figure 5

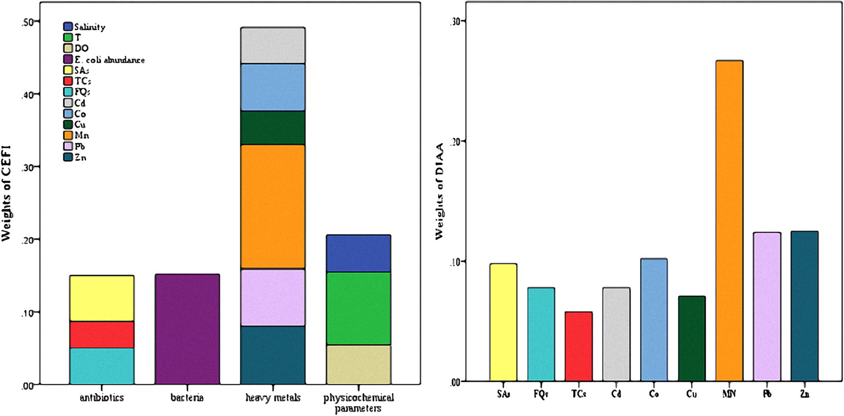
The weights of 13 environmental indicators in the comprehensive environmental factor index (CEFI) and the weight of each pollutant in the disturbance index of anthropogenic activities (DIAA).

The weights of 13 environmental indicators in the comprehensive environmental factor index (CEFI) and the weight of each pollutant in the disturbance index of anthropogenic activities (DIAA).