Figure 6

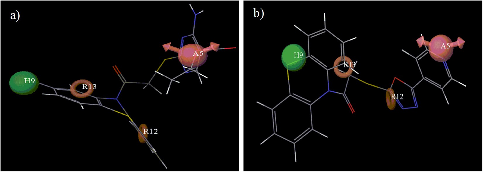
Mapping of (a) the highest fitness score compound (26) and (b) the lowest fitness score compound (32) on the best pharmacophoric model (AHRR).

Mapping of (a) the highest fitness score compound (26) and (b) the lowest fitness score compound (32) on the best pharmacophoric model (AHRR).