Figure 5

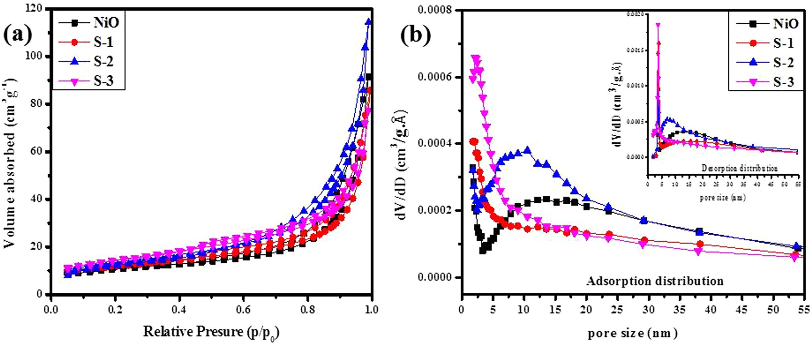
(a) Nitrogen adsorption-desorption isotherms and (b) The corresponding adsorption-desorption pore-size distribution curves of Pure NiO, S-1, S-2 and S-3 based α-Fe2O3/NiO composites.

(a) Nitrogen adsorption-desorption isotherms and (b) The corresponding adsorption-desorption pore-size distribution curves of Pure NiO, S-1, S-2 and S-3 based α-Fe2O3/NiO composites.